호출 예약
호출 내역
추천 내역
신고
1주일 보지 않기
카카오톡 공유
https://instiz.net/name_study/202307
주소 복사
상세 검색
카테고리
기간
시간순
조회순
추천순
댓글순
스크랩순
~
기간 탐색
회원가입
이용 방법·규칙
ID 저장
자동 로그인
HOT
이슈
일상
연예
드영배
장터
픽션
공포
뷰티
스터디
iChart
출석체크
게임
변경
인기글
전체 게시물 알림
스터디
문제풀이
대학원
진로 고민
아르바이트
취미/계발
자격증
특례
유학
임용
문제풀이
수능
예체능
특목고
특성화
외국어
편입
공무원시험
어학자격증
고등학생
잡담
중학생
대학생
자퇴
재수
혹시 미국에서 여행 중이신가요?
여행
l
외국어
l
해외거주
l
해외드라마
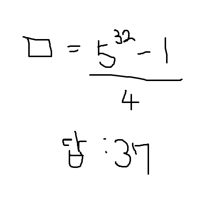
이거 왜 이렇게 돼? (수학주의)
9
9년 전
l
조회
177
인스티즈앱
익인1
(5+1)(5-1)(5'+1)(5'4+1)(5'8+1)(5'16+1)나누기 4니까 (5-1)약분되고
9년 전
익인2
음
9년 전
익인3
답 37이맞아ㅡ?
9년 전
글쓴이
응응 답지 봤는데 37이더라고
9년 전
익인4
문제찍어저ㅓ봐!
9년 전
글쓴이
4에게
내가 지금 핸드폰을 뺏겨서 없는데 그림판으로 그려서 보여줘도 돼?
9년 전
글쓴이
4에게
아아ㅏ아아ㅏ아 이해 갔다 나 문제를 잘못 봤어 ㅠㅠㅠㅠㅠㅠㅠ
9년 전
익인5
글쓴이에게
맞지ㅜ이상하더라
9년 전
글쓴이
글쓴이에게
답해준 천사 익 고마워 문제를 제대로 안 읽었어 ㅋㅋㅋㅋㅋㅋㅋㅋㅋ 사랑해!
9년 전
로그인
후 댓글을 달아보세요
이런 글은 어떠세요?
인생네컷 SNS에 올릴 때 조심해야하는 이유.TXT
이슈 · 4명 보는 중
캐치 티니핑 회사 직원들 책상
이슈 · 2명 보는 중
AD
할머니 가디건으로는 뭐가 더 좋을거 같아?
일상 · 1명 보는 중
AD
정말로 아이돌 팬들에게 돌아간 어느 남돌의 기부.jpg
이슈 · 2명 보는 중
남탕 여탕 거꾸로 들어간 신혼부부
이슈 · 3명 보는 중
8090년대생이 부모세대되면서 심각해진 현상
이슈 · 4명 보는 중
AD
인간의 노화는 물이 없어지는 과정 (feat.반건조)
이슈 · 3명 보는 중
오늘 뜬 시그널2 공식입장 여론 안좋은이유
이슈
AD
지드래곤이 롤모델을 1명만 두지말라는 이유..jpg
이슈 · 3명 보는 중
AD
런던베이글뮤지엄 근황
이슈 · 2명 보는 중
카카오 개편 대표 반응 ㅋ..
일상
인스타 시험관 임신 성공 기념 인증샷.jpg
이슈 · 8명 보는 중
AD
너네기준 이거 괴식임?
일상
AD
부부 하나 담궈버린듯한 오은영 결혼지옥 . jpg
이슈 · 14명 보는 중
AD
한입만 먹어도 다이어트 망하는 음식.jpg
이슈 · 1명 보는 중
현재 애플에 완전히 밀린 갤럭시 근황.jpg
이슈 · 1명 보는 중
전체
HOT
정보/소식
팁/자료
기타
댓글없는글
수능
l
덕성여대 자전이랑 인천대 법학부하면 어디갈거야?
1
아르바이트
l
카페 알바는 왜 자꾸 경력만 뽑냐..
고등학생
l
대학에서 최저 따지는 과목?그런거 어디서봐
수능
l
수능 노베이스 인강 패스 추천부탁해…!!!
편입
l
학점 4.09인데 4년제 간호 갈 수 있을까…?
문제풀이
이거좀 풀어줘ㅠㅠㅠ
2
04.17 00:50
l
조회 111
문제풀이
4의 3분의2제곱을 어떻게구해..?
7
04.17 00:44
l
조회 156
문제풀이
지금 2학년인데 1학년때 내신 5~6이면 2,3학년때 엄청 올려도 숙대나 동국대나 인서울 여대는 가기 힘들지??
3
04.17 00:26
l
조회 362
문제풀이
생식세포분열이 감수분열이야?
1
04.16 23:54
l
조회 103
문제풀이
이거 어떻게 풀어?ㅠㅠㅠ
2
04.16 23:49
l
조회 102
문제풀이
고1 생명 질문ㅠㅠㅠㅠㅠㅠㅠ
4
04.16 23:22
l
조회 128
문제풀이
검정고시문제인데 겁나겁나쉬운건데 수능문제집보다안풀린다...ㄸㄹㄹ
17
04.16 23:17
l
조회 245
문제풀이
미적 2 질문!!
2
04.16 22:58
l
조회 86
문제풀이
이거 해석 해 줄 익 구함....(한국어야)
6
04.16 20:55
l
조회 142
문제풀이
미적분 1 등비급수 이 문제 4번 좀 풀어 줄 사람ㅠ
2
04.16 20:14
l
조회 118
문제풀이
수1 다항식 문제좀 풀어주라 ㅠㅠㅠㅠㅠㅠ
1
04.16 19:14
l
조회 88
문제풀이
이거 왜 이렇게 돼? (수학주의)
9
04.16 17:46
l
조회 177
문제풀이
고1 수학 문제 좀 풀어주세요ㅠㅠ
3
04.16 17:18
l
조회 143
문제풀이
이 문제 좀 풀어주라... 고1수학인데ㅠㅠ
3
04.16 17:17
l
조회 127
찬성하면 신설돼요 ✅
신설 요청
22명 찬성 (목표 20명)
키보드
8명 찬성 (목표 20명)
스트리트
13명 찬성 (목표 20명)
첸백시
21명 찬성 (목표 20명)
자전거
12명 찬성 (목표 20명)
스킨즈
9명 찬성 (목표 20명)
리노(스트레이키즈)
20명 찬성 (목표 20명)
도라에몽
2명 찬성 (목표 20명)
쇼헤이
문제풀이
생명과학 한 문제만 풀어줘라 제발ㅠㅠ
9
04.16 17:09
l
조회 134
문제풀이
중2 이차방정식 좀 도와주라...ㅠㅠㅠㅠ
3
04.16 16:51
l
조회 105
문제풀이
고3 순열 문제 이것 좀 풀어줘ㅠㅠㅠㅠ
5
04.16 16:10
l
조회 119
문제풀이
고2 미적분 극한문제좀 가르켜주라ㅠㅠㅠㅜ
2
04.16 16:01
l
조회 118
문제풀이
물리 기본문제ㅠㅠㅠㅠ
5
04.16 15:22
l
조회 117
문제풀이
화학반응에 공유결합도 포함돼?
2
04.16 15:22
l
조회 106
더보기
처음
이전
326
327
328
329
330
다음
끝
전체 인기글
일상
연예
드영배
15:24
1
두바이와플 .... 내돈 ...ㅜㅜㅜ
10
2
인사의 중요성을 일깨우는 한 연예인 목격담.jpg
7
3
선우용여 "42만원 모수 맛없어, 돈 생각나 미치겠다"
27
4
크리스마스 배달 최고의선택ㅋ
3
5
헐 혜진코타 오키나와에서 웨딩올렸대,,💍
6
줄 안 서고 성심당 케이크 구매한 사람
15
7
약대다니는데 진짜 개널널해
55
8
환연 유식 진짜 최악이다 ㅋㅋ 어떻게 사람을 저렇게 비참하게 만드냐
1
9
핫플
현재 기싸움했다가 뒤지기 직전이라는 쿠팡..JPG
169
10
"소스를.. 5만개나 알고 계신다구유??"
11
혈육이 음주운전해서 걸렸다는데 돈을 빌려달래
26
12
토마토 물기 없이 자르는 방법
4
13
대한민국 방송 역사상 먹방 1위 장면
8
14
자꾸 맵고 칼칼한 음식이 땡기는 이유가 뭘까?
9
15
아빠라는 인간 진짜 한심하다... 자기 아직 60아니라고 떵떵대면서
16
너 연애 안 해봤지??ㅋㅋㅋㅋㅋ
17
22살 모솔인데 연애 한 번 해볼까...?
5
18
어제 애인 친구 이름 ❤️로 저장되었던 그 글 후기야
8
19
내점심❤️❤️
2
20
쿠팡 진짜 영업정지 되나
11
1
두바이와플 .... 내돈 ...ㅜㅜㅜ
10
2
크리스마스 배달 최고의선택ㅋ
3
3
헐 혜진코타 오키나와에서 웨딩올렸대,,💍
4
약대다니는데 진짜 개널널해
55
5
환연 유식 진짜 최악이다 ㅋㅋ 어떻게 사람을 저렇게 비참하게 만드냐
1
6
혈육이 음주운전해서 걸렸다는데 돈을 빌려달래
26
7
자꾸 맵고 칼칼한 음식이 땡기는 이유가 뭘까?
9
8
아빠라는 인간 진짜 한심하다... 자기 아직 60아니라고 떵떵대면서
9
22살 모솔인데 연애 한 번 해볼까...?
5
10
내점심❤️❤️
2
11
쿠팡 진짜 영업정지 되나
11
12
난 인싸고 친구는 아싸인데 짜증난다
3
13
메리솔크라서 혼자 투썸왔는데 좋다
2
14
크리스마스 아침밥 40
15
걍 알바 안할수있음 안하는게 좋음
16
동네 네일샵 케어 진짜 개잘함
17
만약 집에서 개먼데도 대기업이면 가?
8
18
짝사랑하는데 숨기는 애들
3
19
근데 진짜 외적 이상형이여도 대화코드 안맞으면
3
20
결혼식에 직장동료 초대 안 해도 되는거지?
3
1
정보/소식
에스파 윈터 '찾기 힘든 팔뚝 타투' [MK포토]
5
2
와 윈터 오늘 기사사진 레전드임
23
3
아이브 레카 의상
6
4
아 은채 오늘 하이힐 크기가 안맞았구나ㅜㅠㅜ
6
5
지능이 높을수록 혼자 다니는거 좋아한다는데
20
6
방금 지젤 정말 예쁘게 나온 사진을 주웠다
2
7
라이즈팬들아 이거 누군지인지 순서대로 알려주라
4
8
8등급도가는 간호학과가 있어???
7
9
앤톤 또 쇼메협찬이네
2
10
251225 장원영 SBS 가요대전 레드카펫 기사사진
4
11
가대 5시에 시작이면 2시간 쉬는거임..?
2
12
댄서 언니분들한테 간식 준다는 에스파들
2
13
안유진 ㄹㅇ공주네
14
가요대전 닝닝 기사사진
4
15
익들아 손톱 이런 건 잘라야 해? 아님 냅둬야 해?
4
16
남돌은 잘생기고 비율 좋은게 장땡이긴 하다
9
17
정보/소식
'정국 ♥열애설' 윈터, 커플타투 꽁꽁 숨겼다..당당하게 팔뚝 노출
18
유재필 레카 엠씨 잘한거였구나
6
19
재민이 이때 개귀엽다 잠깐 혼자 남은 깍두기
4
20
근데 에스파는 항상 레카같은거
1
1
정보/소식
기자들이 뽑은 '올해의 OTT 오리지널 워스트' 4작품
31
2
키괜 시청률추이 진짜 정직하다...
21
3
추영우 무인 코디 ㄹㅈㄷ
2
4
키괜 덱스 특출기사 났다가 스케줄 안맞아서 불발됐다고 해서
2
5
김혜윤 오인간에서 어떤느낌인지 이홰완ㅋㅋㅋㅋ
6
중드 좋아하는 사람 있으면 쌍궤는 꼭 봐
19
7
오인간) 김혜윤의 냥냥펀치
3
8
박은빈 재벌상속녀 어디가고 얼딩이 있냐 ㅋㅋㅋ
9
9
크리스마스에 뭐 봐 다들????????????????
2
10
스띵 시즌5 첫부분에
5
11
대군부인) 아이유 이거 손 다친거였나봐
12
12
악마판사 비하인드 웃프네ㅋㅋㅋㅋㅋㅋ
13
요즘은 배우들 평범한외모를 더 선호한다는거
14
와 에이판 여배들 빡세다
4
15
이채민 에이판 어워즈 참석한대
8
16
나홀로집에, 겨울왕국 다 구매해야 되네
17
나 올해 넷플 여여서사 작품들 재밌게 봄
18
단군어워드 탑5
14
19
수지의 모든 날을 사랑하지만 이 날은 최애
5
20
클스마스 집에서 볼 영화 추천해줄 익
1
인스티즈앱 설치
소개
이용 문의
광고/제휴
채용
권리 침해
개인정보취급방침
(주)인스티즈 사업자등록번호 : 655-86-00876
통신판매업신고 :
2017-서울강남-03991
대표 : 김준혁
© instiz Corporation