호출 예약
호출 내역
추천 내역
신고
1주일 보지 않기
카카오톡 공유
https://instiz.net/name_study/202945
주소 복사
상세 검색
카테고리
기간
시간순
조회순
추천순
댓글순
스크랩순
~
기간 탐색
회원가입
이용 방법·규칙
ID 저장
자동 로그인
HOT
이슈
일상
연예
드영배
장터
픽션
공포
뷰티
스터디
iChart
출석체크
게임
변경
인기글
전체 게시물 알림
스터디
문제풀이
대학원
진로 고민
아르바이트
취미/계발
자격증
특례
유학
임용
문제풀이
수능
예체능
특목고
특성화
외국어
편입
공무원시험
어학자격증
고등학생
잡담
중학생
대학생
자퇴
재수
혹시 미국에서 여행 중이신가요?
여행
l
외국어
l
해외거주
l
해외드라마
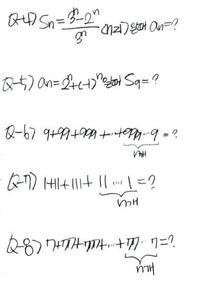
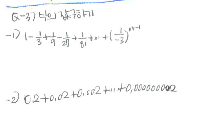
등비수열 문제좀 풀어주세영 ㅠㅠㅠ
4
9년 전
l
조회
97
인스티즈앱
혹시 글씨가 거지같아서 못알아보겠으면 말해줘 ㅠㅠ나름 최선을 다해 쓴건데..
익인1
기다료방 쓰니얍
9년 전
글쓴이
알겠다눙 ㅠ
9년 전
익인2
요깅 이해안되면 답글줭
9년 전
글쓴이
이제서야 봤다 ㅠㅠㅠ고마워 익기니 ㅠㅠ
9년 전
로그인
후 댓글을 달아보세요
이런 글은 어떠세요?
훈녀생정 90년대생's 추억의 립 틴트 모음.zip
이슈
AD
내 배민 닉네임이 레몬나르고 빚갚으리오인데..
이슈 · 3명 보는 중
미국 5.8kg 슈퍼 베이비 출산
이슈 · 7명 보는 중
AD
채영이 트와이스를 탈퇴하고 싶었던 이유
이슈 · 1명 보는 중
아가씨와 아줌마를 구별하는 방법
이슈 · 8명 보는 중
AD
얼굴이 살짝 변한 보아와 윤아
이슈 · 1명 보는 중
요즘 초등학생 청소 시간 특징
이슈 · 2명 보는 중
AD
신메뉴 초승달 마카롱.jpg
이슈 · 1명 보는 중
미프진(낙태약) 합법화를 외치는 민주당 의원들
이슈 · 1명 보는 중
AD
W코리아 기부액으로 말 나오는 이유....
이슈 · 1명 보는 중
의대생들이 "수업 안 듣겠다” 선언했더니 학교가 바뀜
이슈 · 1명 보는 중
현재 충무로의 거의 모든 대본이 김고은 배우에게 간다
이슈 · 1명 보는 중
AD
버스승차 거부당했어 이거맞아?
일상 · 3명 보는 중
오빠가 고모를 때렸는데 우리가 사과할 일이야?
이슈 · 2명 보는 중
AD
유지태 내 기준 빡세다 vs 무난하다
이슈 · 1명 보는 중
AD
써브웨이 신상쿠키
이슈 · 1명 보는 중
전체
HOT
정보/소식
팁/자료
기타
댓글없는글
수능
l
덕성여대 자전이랑 인천대 법학부하면 어디갈거야?
1
아르바이트
l
카페 알바는 왜 자꾸 경력만 뽑냐..
고등학생
l
대학에서 최저 따지는 과목?그런거 어디서봐
수능
l
수능 노베이스 인강 패스 추천부탁해…!!!
편입
l
학점 4.09인데 4년제 간호 갈 수 있을까…?
문제풀이
화학시험과정!!
06.11 10:31
l
조회 151
문제풀이
영문법 잘아는 사람 도와줄수있니??
2
11.24 13:51
l
조회 321
문제풀이
스크래치 잘 하는 사람 ㅠㅠㅠㅠㅠㅠ
04.08 01:36
l
조회 271
문제풀이
이거 이렇게 한거 맞아?
01.16 04:19
l
조회 372
문제풀이
세번째 줄부터 왜 이렇게 되는건지 이해가 안돼
2
01.09 13:22
l
조회 454
문제풀이
이거 이렇게 계산해도 돼?
1
01.07 21:37
l
조회 448
문제풀이
이거 왜 working이 아니라 work야?
7
01.02 20:05
l
조회 532
문제풀이
수학 로그 질문
22
01.02 18:11
l
조회 448
문제풀이
수학 질문
5
01.01 17:19
l
조회 419
문제풀이
이거 중간과정이 뭐임...?
1
12.27 12:47
l
조회 349
문제풀이
이게 왜 1이 나와?
3
12.26 23:03
l
조회 417
문제풀이
35번 왜 이렇게 되는거야?
8
12.21 17:46
l
조회 411
문제풀이
초등 수학 요거 알려줄사람..
6
11.10 18:23
l
조회 480
문제풀이
이문제 왜이렇게 되는지 알려줄사람 ㅠ
1
11.10 12:50
l
조회 371
찬성하면 신설돼요 ✅
신설 요청
8명 찬성 (목표 20명)
스트리트
4명 찬성 (목표 20명)
Z세대
12명 찬성 (목표 20명)
스킨즈
46명 찬성 (목표 20명)
환경
17명 찬성 (목표 20명)
첸백시카테고리
4명 찬성 (목표 20명)
중국드라마
21명 찬성 (목표 20명)
자전거
13명 찬성 (목표 20명)
첸백시
문제풀이
문제 도와즈ㅓㅠㅠ
2
11.07 19:34
l
조회 361
문제풀이
갑자기 제곱이 붙는이유
5
10.29 17:09
l
조회 376
문제풀이
이문제 마지막에 1더하는 이유
3
10.27 16:43
l
조회 377
문제풀이
이 셋이 왜 같은거야?
1
10.15 20:43
l
조회 344
문제풀이
11번 어떻게 하는건지 완전히 이해되진 않아서
6
10.15 14:22
l
조회 344
문제풀이
이거 무리수 증명 어떻게 하는 거야?ㅠㅠ
1
09.28 14:19
l
조회 363
더보기
1
2
3
4
5
6
7
8
9
10
다음
끝
전체 인기글
일상
연예
드영배
9:28
1
현재 난리 난 네이버 톡톡 응대..JPG
35
2
어제 더현대갔는데 너무 현타왔음..ㅋㅋㅋㅋㅋ
13
3
아 오늘 반차 썼는데 약간 후회됨 ㅋㅋㅋ
11
4
북한의 10년 세뇌가 5분만에 풀려버림
13
5
흑백요리사2 윤남노 흑팀 편파 심사 의혹.twt
35
6
오늘 코트 가능? 서울
32
7
결혼 후 덜 행복한 성격 유형.Jpg
25
8
손종원 쉐프 얼굴로 살고 싶다는 윤남노
5
9
차가원 엠씨몽 만난 거 도파민때문이지 않을까 생각함
18
10
나 진짜 소개팅 백전백승인데 꿀팁 알려달라고해서 말해주면 그건 당연한거 아니냐는 소리들음 ㅠㅠㅋㅋ
9
11
강남에 팝업했던 에드워드 리 45만원짜리 코스요리 후기
5
12
나 28살에 백수되게 생겼어
2
13
나는 진짜 에겐남만 찾아옴…
5
14
이거 새언니가 차 사달라고 하는거지?
11
15
한시간 뒤면 임용 1차 결과 나와 ㅠㅠ
26
16
당뇨익들아 내가 지금 현실 도피 한다고 병원 안간지가 2달 째인데
14
17
크리스마스 혼자 (솔로로) 보낸 익들 없었니
5
18
다음주 퇴사하는 직원이 일을 안 해.jpg
50
19
이탈리아 커피숍에서 아아를 너무 시키고 싶었던 한국인
2
20
섹텐은 서로 어디서 느껴지는거임??
6
1
어제 더현대갔는데 너무 현타왔음..ㅋㅋㅋㅋㅋ
13
2
아 오늘 반차 썼는데 약간 후회됨 ㅋㅋㅋ
11
3
오늘 코트 가능? 서울
32
4
나 진짜 소개팅 백전백승인데 꿀팁 알려달라고해서 말해주면 그건 당연한거 아니냐는 소리들음 ㅠㅠㅋㅋ
9
5
나 28살에 백수되게 생겼어
2
6
이거 새언니가 차 사달라고 하는거지?
11
7
나는 진짜 에겐남만 찾아옴…
5
8
당뇨익들아 내가 지금 현실 도피 한다고 병원 안간지가 2달 째인데
14
9
한시간 뒤면 임용 1차 결과 나와 ㅠㅠ
26
10
크리스마스 혼자 (솔로로) 보낸 익들 없었니
5
11
엑셀 진짜 잘하는사람들은 마법같다
2
12
160에 51키로면 더이상 살뺄필요 없어?
4
13
장염에 삼계탕 먹어도 되는지 검색하다가 어이없는 글 봄
1
14
얘들아 너네 지대넓얕 작가 통일교인거 알고있었어?
15
20대초반 vs 30대후반 다이어트 난이도
2
16
너네 동남아 가면 나시 입어?
2
17
절친 임신 축하 선물
8
18
cctv 보려면 경찰이랑 같이 가야해?
1
19
주변에 연예인 하면 스타성 대박이겠다 싶은 사람 있어??
6
20
나만 이거 이해 안 되는 거야?ㅜ
4
1
어제 연준이랑 윤채 무대 사진인데 미친...
3
2
근데 최강록씨도 요리 꽤 엘리트 코스 밟은 사람이구나
1
3
탈덕하고 여기서 굿즈 팔면 안 되는 거야?
34
4
아파트인테 집비우면서 12도로 해놓고 나왔는데 18도 할걸 그랬나 ㅠ
6
5
아 이거 원희 운학이래 ㅋㅋㅋㅋㅋ큐ㅠㅠㅠㅠㅠ
5
6
취뽀했다
5
7
오늘 연차 많을까?????????????? 지하철에 사람 많은디????????
8
독방에 나눔이나 양도글 올릴때 독방 이용 인증도 받아
1
9
정보/소식
서예지·전소민·박은석·곽시양, '사의 찬미' 캐스팅 공개…1월 30일 개막
10
정보/소식
세븐틴, 따로 또 같이한 10주년...최고·최초·최다 기록
3
11
타로랑 찬영이 말랑즈 맞다ㅠㅠㅠㅠㅠㅠ
12
헐 주토피아2 700만 넘었넹
3
13
클쓰 기념 단체라방은 다해주는건가?
5
14
유우시 앤톤 원빈 시온 절친끼리 꼭 붙어있었네 ㅋㅋㅋㅋ
3
15
오늘 이사님 연차라 수욜 미리 땡겨서 일해둠ㅋㅋㅋㅋ
16
눈사람즈 들튀
17
어제 많이 먹은거 출근하자마자 업보청산 중
9
18
도영이 오늘 조식 맛나보인다
9
19
진영아는사람,,,
12
20
밖에 날씨어떠니
12
1
기네스펠트로가 티모시 피부 안좋은줄 알고 팁 주려고 했대
3
2
급상승
정보/소식
모범택시3) '모범택시3' 이제훈, 익명성에 숨은 지능형 범죄 빌런 쫓는다
1
3
초록글 보니까 궁금한건데
8
4
정보/소식
[단독] '음주 자숙' 곽도원, 스토리제이컴퍼니와 손 잡고 복귀 타진
1
5
정보/소식
서예지 '사의 찬미'로 복귀한다.. 연극 첫 도전
3
6
아역배우가 그려준 변우석 사진봐 ㅋㅋ
13
7
급상승
미디어
오인간) [2차 티저] "너 때문이네, 내가! 인간이 됐어" 김혜윤X로몬..
1
8
키스는괜히해서) 14회(최종회) 시청률
9
정보/소식
[SC방송결산②] 연기대상 빈부격차 심하네..풍년 SBS vs 민망한 KBS·MBC
10
오인간) 은호 시열 ㄱㅇㅇ
11
정보/소식
내일도출근) 강기둥, 두 아들 둔 현실 가장 된다서인국 박지현과 케미요정 예고(내일..
12
키스는괜히해서) 선우본 김무준 종영 인터뷰
3
13
추영우 오세이사에서 넘 잘생겨써
3
14
오늘 모택 하는 날이네
1
15
정보/소식
스프링피버) '스프링 피버' 차서원 "데뷔 이후 첫 로맨틱 코미디 도전”
2
16
매니지먼트 런 여기 소속사 전속계약 기사 많이 뜬다
17
정보/소식
경도를기다리며) '경도를 기다리며' 2막, 작가가 꼽은 최애 깜짝 스포일러
인스티즈앱 설치
소개
이용 문의
광고/제휴
채용
권리 침해
개인정보취급방침
(주)인스티즈 사업자등록번호 : 655-86-00876
통신판매업신고 :
2017-서울강남-03991
대표 : 김준혁
© instiz Corporation