호출 예약
호출 내역
추천 내역
신고
1주일 보지 않기
카카오톡 공유
https://instiz.net/name_study/447987
주소 복사
상세 검색
카테고리
기간
시간순
조회순
추천순
댓글순
스크랩순
~
기간 탐색
회원가입
이용 방법·규칙
ID 저장
자동 로그인
HOT
이슈
일상
연예
드영배
장터
픽션
공포
뷰티
스터디
iChart
출석체크
게임
변경
인기글
전체 게시물 알림
스터디
잡담
대학원
진로 고민
아르바이트
취미/계발
자격증
특례
유학
임용
문제풀이
수능
예체능
특목고
특성화
외국어
편입
공무원시험
어학자격증
고등학생
잡담
중학생
대학생
자퇴
재수
혹시 미국에서 여행 중이신가요?
여행
l
외국어
l
해외거주
l
해외드라마
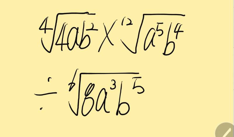
이거 어떻게 푸는지 아는 익...?
4
8년 전
l
조회
61
인스티즈앱
b는 정리할 수 있는데 a를 못하겠어...ㅠ
연관글
진학사이거어떻게써?
3
익들 카페에서 공부하는거 어떻게 생각해?
3
문장이 어떻게 되어있는건지모르겟어.....
익들아 수능준비 한국사는 언제부터 하는게 제..
4
익인들은 공부 안 하다가 처음 시작했을 때 마..
3
중2 수학 복습하는거 개념서만 꼼꼼하게 다 풀..
4
교과 떨어지는 거랑 종합 떨어지는 거랑 느낌..
3
익인1
지수로 바꿔서 구해봥 ! 난 저거 공부할때 실수할까봐 그렇게 했는디
8년 전
글쓴이
지수로 바꿔서 했는데 a 정리를 못하겠어... 상수 붙어있는 거 정리 못해서ㅠㅜㅜㅜㅜㅠ
8년 전
익인2
상수도 분리 할수있지않나..? 루트4ab 있음 루트4 루트a 루트b 로 나눠서 해봐 ! 사루트 4는 사에 사분에1승이니까 루트2로 되겠네 ! a는 b정리한것처럼 하면 될꺼야 !
8년 전
글쓴이
어어 알 거 같아 한 번 해볼게 고마워♡♡♡♡♡
8년 전
로그인
후 댓글을 달아보세요
이런 글은 어떠세요?
비싼만큼 좋다는 허먼밀러 의자
이슈 · 2명 보는 중
AD
응급으로 애기 낳았다 ㅎㅎ
일상 · 2명 보는 중
AD
현재 썸네일로 댓글창 난리난 가성비 식당..JPG
이슈 · 1명 보는 중
요즘 찐금수저 판별법
이슈 · 2명 보는 중
해리포터 팬들이 은근히 가보고 싶어하는 곳
이슈 · 2명 보는 중
AD
인스타 시험관 임신 성공 기념 인증샷.jpg
이슈 · 8명 보는 중
오늘 뜬 시그널2 공식입장 여론 안좋은이유
이슈 · 2명 보는 중
영등포 사창가 현황
이슈 · 2명 보는 중
AD
현재 이미 스테디라는 헤어스타일..JPG
이슈 · 3명 보는 중
인생네컷 SNS에 올릴 때 조심해야하는 이유.TXT
이슈 · 4명 보는 중
AD
AD
8090년대생이 부모세대되면서 심각해진 현상
이슈 · 5명 보는 중
혀는 안매운데 항문이 매운치킨들...jpg
이슈 · 3명 보는 중
AD
인간의 노화는 물이 없어지는 과정 (feat.반건조)
이슈 · 1명 보는 중
현재 sns에서 난리난 직장 쿠션어 논란..JPG
이슈 · 1명 보는 중
AD
크리스마스 성수기 뽕뽑기 시작됨
이슈 · 5명 보는 중
남편이 갑자기 뽀뽀를 했어요
이슈 · 4명 보는 중
전체
HOT
정보/소식
팁/자료
기타
댓글없는글
수능
l
덕성여대 자전이랑 인천대 법학부하면 어디갈거야?
1
아르바이트
l
카페 알바는 왜 자꾸 경력만 뽑냐..
고등학생
l
대학에서 최저 따지는 과목?그런거 어디서봐
수능
l
수능 노베이스 인강 패스 추천부탁해…!!!
편입
l
학점 4.09인데 4년제 간호 갈 수 있을까…?
선생님이 수업하면서 퇴근하고싶다고 자꾸 말하면
12.09 02:10
l
조회 110
절친이 공부는 하고 싶은데 시작을 못하겠다는데 핑계아니야?
11.14 16:01
l
조회 132
공부 중에 이별을 했는데 어떻게 다시 연락이 됐다면
4
10.15 21:28
l
조회 290
나 2N살 일본어 공부 시작했어
3
10.10 11:22
l
조회 307
이직했는데 이제 3주살짝안되었거든
1
09.25 18:16
l
조회 229
공부할때 외로우면 다들 머해?ㅠㅠㅠㅠ
2
09.12 00:23
l
조회 409
논술 동덕여대 쓰는거 어캐 생각해?
3
09.07 14:05
l
조회 372
12시까지공부할거임
09.03 21:56
l
조회 235
책 읽는데 글을 읽어도 이해를 못하면
1
08.04 16:36
l
조회 170
알바 후 태도 변화
05.12 13:49
l
조회 1147
다들 서서 공부 잘돼..?
04.18 15:42
l
조회 759
줄서기 오픈런 알바
2
04.17 20:21
l
조회 1089
취미로 자격증
04.01 11:38
l
조회 667
굿노트
03.28 00:24
l
조회 5957
찬성하면 신설돼요 ✅
신설 요청
10명 찬성 (목표 20명)
PC방 혜택
3명 찬성 (목표 20명)
맨체스터 유나이티드
21명 찬성 (목표 20명)
자전거
20명 찬성 (목표 20명)
도라에몽
4명 찬성 (목표 20명)
중국드라마
22명 찬성 (목표 20명)
키보드
17명 찬성 (목표 20명)
챤미나
13명 찬성 (목표 20명)
첸백시
이거 몇 칼로리 될까?
2
03.26 19:11
l
조회 471
l
추천 1
학사 두번 vs 학사+석사 뭐가 나을까?
12
03.25 17:44
l
조회 3975
l
추천 1
과제? 대신해주는거 이거 괜찮은거야?
03.09 11:02
l
조회 2798
독서실 예의
1
02.25 12:25
l
조회 3354
친구랑 떠들거면 대체 스카 왜 옴
01.30 20:18
l
조회 528
서점에서 공부해도 괜찮아? (교보나 영풍같은)
2
01.21 17:45
l
조회 510
더보기
1
2
3
4
5
6
7
8
9
10
다음
끝
전체 인기글
일상
연예
드영배
15:30
1
두바이와플 .... 내돈 ...ㅜㅜㅜ
21
2
크리스마스 배달 최고의선택ㅋ
3
3
선우용여 "42만원 모수 맛없어, 돈 생각나 미치겠다"
27
4
줄 안 서고 성심당 케이크 구매한 사람
15
5
환연 유식 진짜 최악이다 ㅋㅋ 어떻게 사람을 저렇게 비참하게 만드냐
3
6
인사의 중요성을 일깨우는 한 연예인 목격담.jpg
7
7
약대다니는데 진짜 개널널해
55
8
핫플
현재 기싸움했다가 뒤지기 직전이라는 쿠팡..JPG
174
9
내점심❤️❤️
2
10
"소스를.. 5만개나 알고 계신다구유??"
11
어제 애인 친구 이름 ❤️로 저장되었던 그 글 후기야
8
12
메리솔크라서 혼자 투썸왔는데 좋다
3
13
이연복 쉐프님의 중식계에서의 위치.jpg
1
14
대한민국 방송 역사상 먹방 1위 장면
8
15
국가 유공자, 그냥 드려요, 들어오세요…편의점 안내문
1
16
토마토 물기 없이 자르는 방법
4
17
22살 모솔인데 연애 한 번 해볼까...?
9
18
걍 알바 안할수있음 안하는게 좋음
5
19
자취하는 익들아 너네 연인한테 집 공유 안해?
4
20
실시간 산타할배 지구 배달 현황
1
두바이와플 .... 내돈 ...ㅜㅜㅜ
21
2
크리스마스 배달 최고의선택ㅋ
3
3
환연 유식 진짜 최악이다 ㅋㅋ 어떻게 사람을 저렇게 비참하게 만드냐
3
4
약대다니는데 진짜 개널널해
55
5
내점심❤️❤️
2
6
메리솔크라서 혼자 투썸왔는데 좋다
3
7
22살 모솔인데 연애 한 번 해볼까...?
9
8
걍 알바 안할수있음 안하는게 좋음
5
9
난 인싸고 친구는 아싸인데 짜증난다
3
10
ㅋㅋ클스마스 분위기 내고싶어서 코트 입고 나왔다가
11
아빠라는 인간 진짜 한심하다... 자기 아직 60아니라고 떵떵대면서
1
12
아 카페왔는데 옆테이블 아재들 대화하는거 개듣기싫다
13
애플워치 스트랩 둘중에 뭐 살까
2
14
한국인인게 정말정말 싫어서 우울감이 드는데 이걸 해소하려면 현실적으로 어떻게 해야될까?
1
15
결혼식에 직장동료 초대 안 해도 되는거지?
5
16
강아지상 이상형인데 고양이상 소개팅 들어오면 안받아?
1
17
나도 개강철피부 되고싶다
18
신입익들아 너희 연봉 얼마받음?
1
19
관심있는 애가 있는데
20
신전떡볶이+순대+납작만두 vs 연어육회덮밥 큰거
1
정보/소식
에스파 윈터 '찾기 힘든 팔뚝 타투' [MK포토]
6
2
라이즈 한곡 하나보네..
16
3
정보/소식
'정국 ♥열애설' 윈터, 커플타투 꽁꽁 숨겼다..당당하게 팔뚝 노출
12
4
아 은채 오늘 하이힐 크기가 안맞았구나ㅜㅠㅜ
8
5
지능이 높을수록 혼자 다니는거 좋아한다는데
32
6
캣츠아이 윤채 가요개전 레카 멋있당
7
방금 지젤 정말 예쁘게 나온 사진을 주웠다
2
8
좀 뜬금없는데 샤갈 이라는 말의 유래가 뭐지
4
9
안유진 ㄹㅇ공주네
2
10
안유진 연준 Mc합 좋았는데 연준 아쉽다
1
11
앤톤 또 쇼메협찬이네
3
12
나 환연 유식민경러인데 심란해...ㅠ
13
오늘 다 라이브 하려나?
2
14
재민이 살 왤케 빠졌어
2
15
댄서 언니분들한테 간식 준다는 에스파들
2
16
아이브 레카 의상
9
17
익들아 손톱 이런 건 잘라야 해? 아님 냅둬야 해?
7
18
드림 재민이 실물
1
19
251225 장원영 SBS 가요대전 레드카펫 기사사진
4
20
라이즈팬들아 이거 누군지인지 순서대로 알려주라
6
1
오인간) 김혜윤의 냥냥펀치
3
2
요즘은 배우들 평범한외모를 더 선호한다는거
2
3
크리스마스에 뭐 봐 다들????????????????
2
4
키괜 시청률추이 진짜 정직하다...
21
5
정보/소식
기자들이 뽑은 '올해의 OTT 오리지널 워스트' 4작품
33
6
키괜 덱스 특출기사 났다가 스케줄 안맞아서 불발됐다고 해서
2
7
추영우 무인 코디 ㄹㅈㄷ
2
8
김혜윤 오인간에서 어떤느낌인지 이홰완ㅋㅋㅋㅋ
1
9
중드 좋아하는 사람 있으면 쌍궤는 꼭 봐
19
10
박은빈 재벌상속녀 어디가고 얼딩이 있냐 ㅋㅋㅋ
9
11
크리스마스는 역시 나홀로집에지
12
추영우) 이거 진짜 바보같고 귀엽다
2
13
폭싹 스핀오프 나왔으면 좋겠다
14
올해는 나홀로 집에 35주년
2
15
오세이사 혼자 보러가면 어때?
6
16
변우석) 변우석 까르띠에 연말파티 비하인드 필름🎄❤️
17
17
단군어워드 탑5
14
18
나 올해 넷플 여여서사 작품들 재밌게 봄
19
수지의 모든 날을 사랑하지만 이 날은 최애
5
20
와 에이판 여배들 빡세다
4
인스티즈앱 설치
소개
이용 문의
광고/제휴
채용
권리 침해
개인정보취급방침
(주)인스티즈 사업자등록번호 : 655-86-00876
통신판매업신고 :
2017-서울강남-03991
대표 : 김준혁
© instiz Corporation