![[이과주의] 이과를 위한 재밌는 물리이론 3가지를 알아보자 | 인스티즈](http://file3.instiz.net/data/file3/2018/02/17/b/7/1/b7183434b6dcc42a1028cf0d2574ab27.png)
이 게시물은 이과분들도 혐오를 느끼실 정도로 혐오게시물입니다.
증명과정이 정말 시룸이기 때문에 이에 발생하는 피해는 작성자가 책임을 지지 않습니다.
PV = NRT or PV=NkT 증명
먼저 N개의 간단한 단원자분자 시스템을 고려합니다.
우리가 알고 있는 전체 에너지는 운동에너지+위치에너지로 정의되어 있습니다.
![[이과주의] 이과를 위한 재밌는 물리이론 3가지를 알아보자 | 인스티즈](http://file3.instiz.net/data/file3/2018/02/17/3/d/9/3d9236b6b194645fb362b3cd0cd49a98.png)
이것은 원자단위에서도 적용이 되고 그에 대한 수식은
![[이과주의] 이과를 위한 재밌는 물리이론 3가지를 알아보자 | 인스티즈](http://file3.instiz.net/data/file3/2018/02/17/b/2/c/b2cc682c6f864dece69c4de82e8cbeed.png)
로 정의가 됩니다.
여기서 각 기호에 대해 설명을 하면
![[이과주의] 이과를 위한 재밌는 물리이론 3가지를 알아보자 | 인스티즈](http://file3.instiz.net/data/file3/2018/02/17/2/4/5/245ca67922c8789419663882f46fe7d9.png)
그런데 입자들이 정확히 정해져있지 않고 임의의 i개의 입자들이 있습니다.
즉, 각각의 입자들이 가지고 있는 에너지는 서로 다름이 확실합니다.
그래서 우리가 일반적으로 알고 있는 U : 거시적인 에너지를
열통계역학에서 열평형에 있는 체계의 성질을 기술하는 함수인
분배함수(Partiton function)를 다음과 같이 정의됩니다.
![[이과주의] 이과를 위한 재밌는 물리이론 3가지를 알아보자 | 인스티즈](http://file3.instiz.net/data/file3/2018/02/17/9/c/0/9c06990b2c781bb9d1c86e424a3de5da.png)
여기서 β는 1/kT, h는 플랑크 상수입니다.
등온과정에서 매우 유용한 헬름홀츠 자유 에너지(Helmholtz free Energy)는
![[이과주의] 이과를 위한 재밌는 물리이론 3가지를 알아보자 | 인스티즈](http://file3.instiz.net/data/file3/2018/02/17/3/a/8/3a8e593b24a6b99b8665afadb92672d7.png)
이며 Z(N, V, T)인 이유는 분배함수가 N(몰수),V(부피),T(온도)의 함수이기 떄문이며
V(부피)는 dr의 적분과정 중에서 생성됩니다.
여기서 A를 미분을 하게 되면
![[이과주의] 이과를 위한 재밌는 물리이론 3가지를 알아보자 | 인스티즈](http://file3.instiz.net/data/file3/2018/03/15/0/a/c/0ac60f8e113e1c9a5ff466a1811bdb17.png)
그리고 내부에너지 U = U(S,V)이므로 에 대한 미분은
![[이과주의] 이과를 위한 재밌는 물리이론 3가지를 알아보자 | 인스티즈](http://file3.instiz.net/data/file3/2018/03/15/c/a/4/ca4dbe6a00fe7f680a53a2d17ff5873d.png)
이 식들을 정리하게 되면 다음과 같고, 여기서 압력 P에 대해 알 수가 있죠
![[이과주의] 이과를 위한 재밌는 물리이론 3가지를 알아보자 | 인스티즈](http://file3.instiz.net/data/file3/2018/03/15/1/6/2/16290da2f37a402dc136bf6ac52fcca7.png)
![[이과주의] 이과를 위한 재밌는 물리이론 3가지를 알아보자 | 인스티즈](http://file3.instiz.net/data/file3/2018/03/15/c/c/a/cca1b0d88a545a9f5b56488440234732.png)
압력 P까지 구했습니다. 하지만 분배함수 Z는 위에 써있듯이 굉장히 복잡합니다.
따라서 이 식을 간단히 해줄 필요가 있습니다.
PV=NRT라는 수식은 이상기체상태방정식이죠
즉 이상기체에 대해서만 사용이 가능합니다.
이상기체란 분자간의 상호작용 인력이나 척력을 무시할 수 있는 기체를 뜻합니다.
이 의미는 위치에너지를 생각하지 않아도 된다는 뜻이며
분배함수 Z에서 포텐셜 에너지를 없앨 수가 있습니다.
![[이과주의] 이과를 위한 재밌는 물리이론 3가지를 알아보자 | 인스티즈](http://file3.instiz.net/data/file3/2018/03/15/2/f/f/2ff6f77d35c77b06822cea9f9a133824.png)
![[이과주의] 이과를 위한 재밌는 물리이론 3가지를 알아보자 | 인스티즈](http://file3.instiz.net/data/file3/2018/03/15/8/c/0/8c0b82e8b7fb64fbf3025a245d6a4233.png)
하지만 역시 이 여전히 분배함수 Z를 계산해야하는 문제가 남아있습니다.
계산이 복잡해 보이지만 의외로 간단합니다.
![[이과주의] 이과를 위한 재밌는 물리이론 3가지를 알아보자 | 인스티즈](http://file3.instiz.net/data/file3/2018/03/15/1/6/5/1650e1d7fbf537aa6c43b53eb48ba47d.png)
뒤에 더 복잡한게 있으므로 중간과정을 생략하고 결과만 생각하면
![[이과주의] 이과를 위한 재밌는 물리이론 3가지를 알아보자 | 인스티즈](http://file3.instiz.net/data/file3/2018/03/15/9/a/d/9ad80754bbe1f8847ae866034853ad88.png)
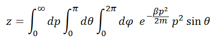
최종적으로는 소문자 z의 함수를 무한대에서 무한대까지 N번의 적분하는 계산만 남았습니다.
z를 다시 쓰게 되면 다음과 같고
![[이과주의] 이과를 위한 재밌는 물리이론 3가지를 알아보자 | 인스티즈](http://file3.instiz.net/data/file3/2018/03/15/9/b/4/9b45d4ddf78586d686bb0d1ad26bf189.png)
계산을 더욱 쉽게 하기 위해 직각좌표계를 구좌표계로 변환시킵니다.
![[이과주의] 이과를 위한 재밌는 물리이론 3가지를 알아보자 | 인스티즈](http://file3.instiz.net/data/file3/2018/03/15/f/4/4/f448161d2611bbdbf11ef8124a17cf4c.png)
그럼 식은 다음과 같이 변하게 되고
![[이과주의] 이과를 위한 재밌는 물리이론 3가지를 알아보자 | 인스티즈](http://file3.instiz.net/data/file3/2018/03/15/c/2/e/c2eedbe25dff64e2593b674a2b701240.png)
극각에 대한 변수는 sin이고 방위각에 대한 변수 1이므로 이 두개에 대해서는 쉽게 적분할 수 있습니다.
![[이과주의] 이과를 위한 재밌는 물리이론 3가지를 알아보자 | 인스티즈](http://file3.instiz.net/data/file3/2018/03/15/6/0/2/602c68c64c0189e04d8c591ecda2c149.png)
드디어 수식에 나름대로 간단해졌군요.
하지만 이 수식 적분도 엄청 어렵습니다.
이 식을 적분하기 위해서는 Error Function erf(x)라는 개념이 필요합니다.
에러함수에 대한 정의는
![[이과주의] 이과를 위한 재밌는 물리이론 3가지를 알아보자 | 인스티즈](http://file3.instiz.net/data/file3/2018/03/15/7/9/f/79fbea3775479275b26d215fae8fe31d.png)
![[이과주의] 이과를 위한 재밌는 물리이론 3가지를 알아보자 | 인스티즈](http://file3.instiz.net/data/file3/2018/03/15/1/7/3/17394cba62740d17ff5e197291a8af85.png)
이런 식으로 그래프가 그려지는 함수입니다.
현재 우리가 살고 있는 세상은 컴퓨터가 있습니다.
Integral-Calculator.com을 이용하여 적분을 이용하게 되면 최종적 z함수의 값은
![[이과주의] 이과를 위한 재밌는 물리이론 3가지를 알아보자 | 인스티즈](http://file3.instiz.net/data/file3/2018/03/15/2/8/b/28b853c7c0423f3cca2ce115baabcb1e.png)
그리고 분배함수 Z는
![[이과주의] 이과를 위한 재밌는 물리이론 3가지를 알아보자 | 인스티즈](http://file3.instiz.net/data/file3/2018/03/15/b/a/0/ba0e46b6ac9efcde2ec34da4172a4be4.png)
![[이과주의] 이과를 위한 재밌는 물리이론 3가지를 알아보자 | 인스티즈](http://file3.instiz.net/data/file3/2018/03/15/8/5/6/856dc06c696601c93dd4b39f49c71455.png)
Λ는 드보로이의 파장이라고 부릅니다.
ln Z를 V에 대하여 편미분을 하게 되면 N/V를 얻게 되고
최종적으로 PV=NRT 또는 PV=NkT라는 수식을 얻게됩니다.
![[이과주의] 이과를 위한 재밌는 물리이론 3가지를 알아보자 | 인스티즈](http://file3.instiz.net/data/file3/2018/03/15/7/e/b/7eb202d2ce4bea026e60678e2a3f6ac0.png)
![[이과주의] 이과를 위한 재밌는 물리이론 3가지를 알아보자 | 인스티즈](http://file3.instiz.net/data/file3/2018/03/15/4/a/c/4ac28789612fee0600303314b09e795b.png)
이과주의]전투기가 지나갈 때 충격파는 왜 발생할까? 라는 주제로 글을 쓴 적이 있습니다.
그 글 중에 이런 그림이 있었습니다.
![[이과주의] 이과를 위한 재밌는 물리이론 3가지를 알아보자 | 인스티즈](http://file3.instiz.net/data/file3/2018/03/15/0/a/1/0a1d810e0ca31e4069f66e5a58feeb43.png)
직사각형의 튜브를 예로 들어 가운데에는 막으로 막혀있고
좌측은 압력이 높고 우측은 압력이 낮다고 합시다.
막고 있던 막을 터뜨리면 우측으로 매질이 움직이기 시작할 것입니다.
그 움직이면서 발생하는 팽창파, 접촉불연속면, 충격파가 과연 진짜로 발생할까요??
이런 것은 사람의 눈으로는 확인하기가 매우 어렵습니다.
그것을 프로그램을 이용하여 한 번 확인해보겠습니다.
사용 프로그램은 상용CFD코드인 COMSOL Multiphysics v5.2입니다.
![[이과주의] 이과를 위한 재밌는 물리이론 3가지를 알아보자 | 인스티즈](http://file3.instiz.net/data/file3/2018/03/15/0/a/4/0a4ea0a02e7ed58d9264c3109ac20026.png)
먼저 튜브를 2D로 가운데 기준으로 양쪽 7.5m로 했습니다.
메쉬는 굳이 많이 안필요할 것 같아 좀 거칠게 짰습니다.
![[이과주의] 이과를 위한 재밌는 물리이론 3가지를 알아보자 | 인스티즈](http://file3.instiz.net/data/file3/2018/03/15/7/7/4/7744036f04ba80eca6c67af9f173279d.png)
초기조건을 모두 공기로 좌측을 10기압, 우측을 1기압으로 주었습니다.
즉 압력비율은 10배로 생각하시면 됩니다.
그리고 양쪽의 온도는 상온20도로 주었습니다.
그리고 경계조건은 양쪽으로 동일하게 발생하기 위해 위아래를 Symmetry로
양쪽은 Slip조건으로 주었지만 충격파가 거기까지 가지 않으므로 아무렇게나 주었습니다.
시간에 따라 확인해보기 위해 t = 0~0.001초까지 10개로 잘라 0.0001초마다 확인하도록 설정했습니다.
![[이과주의] 이과를 위한 재밌는 물리이론 3가지를 알아보자 | 인스티즈](http://file3.instiz.net/data/file3/2018/03/15/f/7/5/f755a441fdf0fdcb0ba1ac31cad8fcb5.png)
이것은 시간이 0초일 때 속도 분포입니다.
0초인데 띠가 좀 앞에가 있네요.
애니메이션 효과를 이용하여 0~0.001초까지 어떻게 변하는지 한번 보겠습니다.
![[이과주의] 이과를 위한 재밌는 물리이론 3가지를 알아보자 | 인스티즈](http://file3.instiz.net/data/file3/2018/03/15/8/1/4/81473b19f29f4a1f54fdd59abb22f522.gif)
![[이과주의] 이과를 위한 재밌는 물리이론 3가지를 알아보자 | 인스티즈](http://file3.instiz.net/data/file3/2018/03/15/0/6/1/061e05c985e9331cc151037d97477410.gif)
맨위에 보여주었던 그림과 같이 좌측은 팽창파가 발생하고 앞에는 충격파가 발생하네요.
충격파 뒤에서 띠가 생겼다 사라졌다하는데 이건 접촉불연속면으로 보이네요.
시뮬레이션의 한계인지 보이지 않아야하는데......
하지만 이로써 충격파에 대한 어떠한 물리현상들이 발생하는지 알 수 있었습니다.
재미없는 글을 끝까지 봐주신 분들에게 감사합니다.
이번에는 외전? 이라는 느낌으로 음속이 어떻게 나왔는지 설명을 하려고 합니다.
수식이 굉장히 많이 나오므로 재미가 없을지도 모릅니다.
그래도 좀 수학이나 자연현상에 대해 관심이 있으신 분들을 위해 조금이나마
도움이 되면 싶으면 해서 올려봅니다.
시작하겠습니다.
음속
음속이란 바로 "음파가 전달되는 속도"입니다.
즉 어떤 경계면 사이에 서로 다른 값을 가졌을 때 Wave가 발생하게 된다는 뜻인데요.
![[이과주의] 이과를 위한 재밌는 물리이론 3가지를 알아보자 | 인스티즈](http://file3.instiz.net/data/file3/2018/03/15/9/2/6/926ec9b70df57560d8d3c88adc0c0742.png)
이런 형태로 P(압력), ρ(밀도), T(온도), v(속도)가 Wave경계면 사이에서 서로 변하게 되어 발생된다는 뜻입니다.
이제 음속을 유도해보겠습니다.
일단 가정을 합니다.
i) 정상 1차원 유동관계식
ii) 비점성 유동(속도가 빠르므로 점성을 무시할 수 있습니다.)
![[이과주의] 이과를 위한 재밌는 물리이론 3가지를 알아보자 | 인스티즈](http://file3.instiz.net/data/file3/2018/03/15/5/8/6/586e53432a6c410f58d4f664ba24a93a.png)
음속을 유도하는데 사용되는 방정식들입니다.
Sound Wave가 발생시 변화량들은
![[이과주의] 이과를 위한 재밌는 물리이론 3가지를 알아보자 | 인스티즈](http://file3.instiz.net/data/file3/2018/03/15/4/e/d/4ed0d0098831e11f97d124a0b68dd947.png)
우측을 기본상태량이라 할 때 좌측은 dp, dρ, dv dT만큼의 변화량을 가지게 됩니다.
계산을 좀 쉽게 하기위해 좌표를 변환시켜보겠습니다.
Wave 경계면을 고정 즉 원점이라고 한다면 속도가 양쪽에서 a만큼이 차이나게 됩니다.
(예를 들어 달리는 두 차가 100km/h 80km/h로 가고 있다면 80km/h로 가는 차는
다른 차가 20km/h로 가는 것처럼 보입니다.)
![[이과주의] 이과를 위한 재밌는 물리이론 3가지를 알아보자 | 인스티즈](http://file3.instiz.net/data/file3/2018/03/15/7/8/9/789ca08de5b7ba1fe0899d68637744d5.png)
이제 수식으로 돌아가서 유도를 해보겠습니다.
처음으로
질량 보존 법칙으로부터
![[이과주의] 이과를 위한 재밌는 물리이론 3가지를 알아보자 | 인스티즈](http://file3.instiz.net/data/file3/2018/03/15/1/f/c/1fcae0c5208b8f2acfc00c7ebe60eb3c.png)
그리고 운동량 방정식으로 부터
![[이과주의] 이과를 위한 재밌는 물리이론 3가지를 알아보자 | 인스티즈](http://file3.instiz.net/data/file3/2018/03/15/4/3/1/431002a9e4b8e8a98d772c16993735aa.png)
이제 이 두 식을 서로 대입 후 정리하게 되면
![[이과주의] 이과를 위한 재밌는 물리이론 3가지를 알아보자 | 인스티즈](http://file3.instiz.net/data/file3/2018/03/15/7/a/d/7ad2444f9d20b0a31bd939ed90d79610.png)
자 이제 마지막입니다.
마지막으로 1식과 2식을 나누게 되면
![[이과주의] 이과를 위한 재밌는 물리이론 3가지를 알아보자 | 인스티즈](http://file3.instiz.net/data/file3/2018/03/15/b/9/b/b9bed4f173e957d044f3a75813951447.png)
이런 식으로 깔끔한 식이 나옵니다.
이 식이 의미하시는 바를 아시겠습니까??
바로 음속의 제곱값은 밀도 변화량에 따른 압력 변화량 값이라는 것을 알 수가 있습니다.
작성자 : 엽혹진 우주성애자
구글
참고문헌 : THERMODYNAMICS AND AN INTRODUCTION TO THERMODSTATISTICS - HERBERT B. CALLEN

인스티즈앱
현재 댓글창 살벌한 안성재 두쫀쿠 사태..JPG (유머)