Easy
EX) 국가-플라톤, 방법서설-데카르트
철학과에서는 위의 책을 가지고 흔히 철학의 동화책이라는 표현을 쓴다, 다른 것들에 비해 상대적으로 매우 쉽다는 이야기
Hard
EX) 형이상학-아리스토텔레스, 순수이성비판-칸트
여기서부터 읽으면서 욕이 절로 나오기 시작한다. 이 정도부터는 일반인들은 손도 못대는 수준
Very hard
EX) 정신현상학-헤겔, 존재와 시간-하이데거
외계어 수준, 여기서부터는 읽다가 자칫하면 죽을 수도 있다.
Hell
EX) 에크리-라캉
본래 라캉은 문자라는 매체를 좋아하지 않았는데 라캉 추종자들이 저서를 내달라고 하도 부탁을 하자, 일부러 독자들 엿먹으라고 해독이 불가능하게 썼다는 설이있다
Chaos
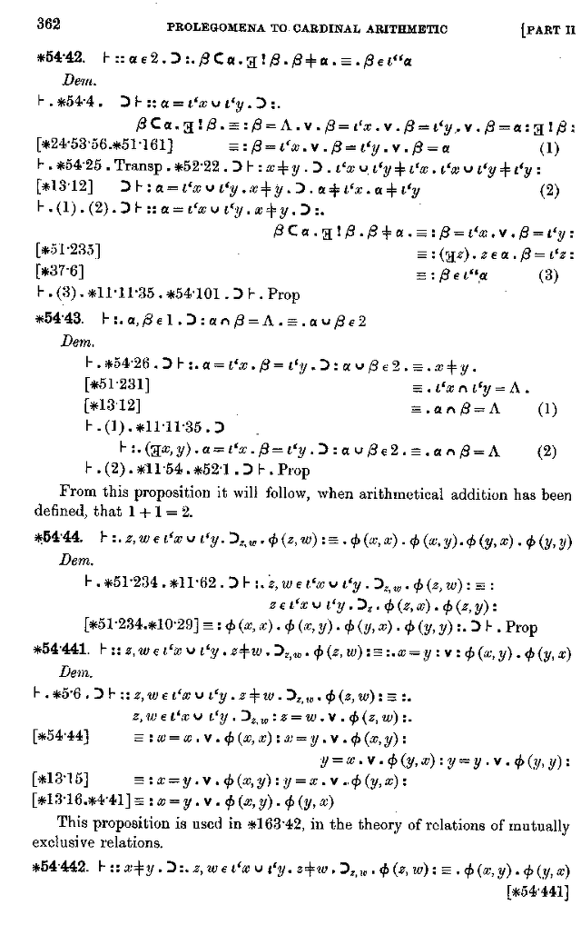
EX) 러셀, 화이트헤드- 수학 원리
러셀 말로는 자신이 살면서 3권까지 다 읽은 사람을 딱 6명 만나보았다고 한다.
-수학원리의 한 페이지 -

인스티즈앱
💥현재 욕먹고 있는 최태성 한국사 강사