호출 예약
호출 내역
추천 내역
신고
1주일 보지 않기
카카오톡 공유
https://instiz.net/pt/5893475
주소 복사
상세 검색
카테고리
기간
시간순
조회순
추천순
댓글순
스크랩순
~
기간 탐색
회원가입
이용 방법·규칙
ID 저장
자동 로그인
HOT
이슈
일상
연예
드영배
장터
픽션
공포
뷰티
스터디
iChart
출석체크
게임
변경
인기글
나는 존재한다, 고로 생각한다!
영화 '관념의 남자 김철수' 시사회 30명 선착순 초대
l
공지가 닫혀있어요
l
열기
필터링
전체 게시물 알림
이슈
유머·감동
정보·기타
이슈·소식
유머·감동
할인·특가
팁·추천
뮤직(국내)
고르기·테스트
이슈
오싹공포
혹시 미국에서 여행 중이신가요?
여행
l
외국어
l
해외거주
l
해외드라마
이마트생수에 분노한 공대생
191
7년 전
l
조회
67735
출처
인스티즈앱
이 글은 7년 전 (2018/12/08) 게시물이에요
많이 스크랩된 글이에요!
나도 스크랩하기
l
카카오톡 공유
ㅡ
3
37
3
연관글
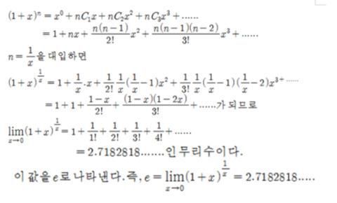
공대생 클라스.gif
한달전 보도된 로스트아크 제작사 스마일게이트..
1
2
심장이슴덕슴덕
슴덕
e,,,,
7년 전
짱아
아 이과가 또..!
7년 전
2AN
이과ㅏㅏㅋㅋㅋㅋㅋㅋㅋ
7년 전
사랑빛
lovy
ㅋㅋㅋㅋㅋㅋㅋㅋㅋ
7년 전
사랑아정국해
방탄하는삶행복한삶
라라 랄라라나 라라나나 햅삐햅삐 e마트~~
7년 전
MOON TAE IL
NCT
아 산술기하네^____^
7년 전
하누월
왼레밍의 플손법칙이네!
7년 전
햇차니
맞는말이넼ㅋㅋㅋㅋㅋㅋㅋㅋㅋㅋㅋㅋ
7년 전
JBJ95 KENTA
💙💛
유도식 테일러 급수던가 ㅇㅅㅇ
7년 전
홀로로
이해해버린 내가 싫다
7년 전
삭제한 댓글
(본인이 직접 삭제한 댓글입니다)
7년 전
정무택
북한 일진
저는 특성화고 졸업생이라 모릅니당 허허 저런 거 안 배워유...
7년 전
Ychm24
e 포함 초월함수 자체를 이제 이과만 배워요!
7년 전
청춘예찬
✿
답은 역시 퇴사네여
7년 전
틴탑_이찬희
사랑해♥
저런걸 고등학교에서 배웠나요??? 진지하게 왜 기억이 없지... 정보고다녀서 안배운건지 배웠는데 머리에 안집어넣은건지.. 수업시간에 졸은적도없는데
7년 전
김성규(30개월)
현 고2기준으로는 미적분2 이과만배우는과정이라서 특성화고는 안배운부분이 맞아요!
7년 전
틴탑_이찬희
사랑해♥
아핫! 그렇죠?? 배웠는데 기억못하는게 아닐거에요...! 알려주셔서 감사합니다(❀ᴗ͈ ˬ ᴗ͈)
7년 전
바다 위에 내려진 푸른 달빛 같은 너
6시 몬엑 슛아웃
현실에서 이런 말하면 이과냄새난다고 뭐라하는데ㅋㅋㅋㅋㅋㅋㅋ
7년 전
김성규(30개월)
밖에서 노는 친구들 대부분 문과나 특성화고라서 드립 이해못해서 슬펐는데ㅠㅠㅠㅠ 너무좋다ㅠㅠㅠㅠㅠ 이마트 실망입니다 718ml 덜려주세요
7년 전
둘! 셋! (그래도 좋은 날이 더 많기를)
진짜 너무하네ㅠㅠㅠ 돌려줘라 줘
7년 전
2013.03~
늘그자리에항상있어.
관동별곡!!!!!!!!
7년 전
뉴이스트 Aron
곽아론눈썹과결혼
우와 오랜만이더... 잊고살았는데
7년 전
오발탄
수능끝나고 얼마나 됐다고 그새 까먹었네...
7년 전
장원영 덕질하는 할머니
💜장 원 영💜
헤엑... 댓글들도 이과 많네요 ... 문과는 지나갑니다 (총총
7년 전
TheStoryofLight
정규6집
와 e 오랜만에 본닼ㅋㅋㅋㅋㅋㅋㅋㅋㅋㅋㅋ
7년 전
내온
문과 만세
7년 전
민윤기천재짱짱맨뿡쁑
군주님 충성충성
진짜 싫다 이과녀석들..
7년 전
코튼
여러분의 이불
아 저거 그거잖아요 시적허용ㅠ
7년 전
빛채경
10월 컴백🎉
ㅋㅋㅋㅋㅋㅋㅋㅋㅋㅋㅋㅋㅋㅋㅋㅋㅋ
7년 전
콩티즌
빅스나잼피치원
아 저 이거 알아요 범인은 황정민 씨 이에요.
7년 전
아리스티아 라 모니크
아 이거 그거잖아요 베버 계층론
7년 전
탐앤탐스
e과가 또....
7년 전
데굴데굴데굴
이거 그거자나여 토마스..그거
7년 전
박지민 요졍
우리 함께라면 사막도 바다가돼
공대생 망.해라... -지나가던 전자공학과 학생-
7년 전
루돈프 용준코
브랜뉴 하이라이트
자연상수... ㅋㅋㅋㅋㅋㅋㅋㅋㅋㅋㅋㅋㅋ
7년 전
Jack Dawson
어 저거 베이컨의 우상아닌가여?
7년 전
도라니잉
메둘라오블라가타잖음ㅋㅋ
7년 전
에
앗 그러지 말라규 창피하다규
7년 전
OhSeHunWife
닉네임이 곧 사실
ㅋㅋ그거네 박명수의 보이지 않는 손
7년 전
Triple Position
보여주고싶은것들이 너무많아
그거네요 황금문서
7년 전
@NCTsmtown_127
리얼브이븨아에엑스빅스
...올해 수능 친 이과생인데 뭔 소린지 하나도 모르겠다ㅋㅋㅋㅋㅋㅋㅋㅋㅋㅋㅋㅋㅋㅋㅋㅋㅋㅋㅋ 역시 수학은 정신에 해로워요
7년 전
1
2
로그인
후 댓글을 달아보세요
이런 글은 어떠세요?
동물 반대하던 부모님들 막상 데려오면 엄청 좋아하는거
일상 · 3명 보는 중
사람마다 진짜 갈린다는 설날 밥상.jpg
이슈 · 2명 보는 중
AD
경리랑 50만원빵 내기했다, 누구말이 맞냐
이슈 · 1명 보는 중
AD
구글 스트리트뷰 보다가 무서운거 발견
이슈 · 1명 보는 중
AD
올데프 애니 하퍼스바자 구찌 화보
이슈 · 1명 보는 중
낙첨된 로또 바로 버리지 말고
이슈 · 2명 보는 중
안방서 홈캠 끄고 13세 딸 성추행한 과외 대학생…'빼박' 증거에도 집유
이슈
AD
나 모태마름인데 궁물
일상 · 2명 보는 중
현재 난리난 NCT 재민 생얼 수준
이슈 · 1명 보는 중
스타벅스 '두쫀롤' 실물
이슈 · 2명 보는 중
AD
AD
요즘 MZ알바들은 손해를 보기 싫어한다.jpg
이슈
환승연애 지현 인스타에 원규 댓글
이슈 · 1명 보는 중
골격이 엄청 큰건 아닌데 실제로 보면 피지컬 좋아 보인다는 배우
이슈 · 4명 보는 중
AD
노라조 와 박지훈 이 같은 소속사인게 실감나는 사진
이슈 · 3명 보는 중
🚨요즘 10대 픽시 성지 됐다는 한강공원..🚨
이슈 · 2명 보는 중
??? : 야 ISTP 아이돌들 고민상담 컨텐츠 못하게해라
이슈 · 10명 보는 중
AD
전체
HOT
댓글없는글
이슈·소식
l
현재 인기멤, 비인기멤 아예 박제해버려서 난리난 팬덤..JPG
147
이슈·소식
l
⚠️우유배달부 저격 점주 사과문 + 텐퍼센트커피 입장문⚠️
128
정보·기타
l
약대 가지 말라는 현직 약사.jpg
169
인사 씹힐때 20대와 30대의 차이
131
허락 없이 아기에게 배 먹인 시부모
92
정보·기타
l
혜리 때문에 쌩담 끊었다는 문세윤
101
이슈·소식
l
(댓글주의) 현재 반응 난리 난(n) 물어보살..JPG
79
이슈·소식
l
하트시그널5 1화에서 나온 논란의 장면 '테토남이다 VS 예의없다'
83
이슈·소식
l
현재 스레드 터진 14살연상 남편과 시험관 반반..JPG
71
남돌 살찐거 봐
76
역대급이라는 올해 장마기간
65
정보·기타
l
위고비, 마운자로의 치명적인 약점
72
정보·기타
l
친일파의 후손인 걸 알게된 인디밴드 보컬
64
정보·기타
l
의사가 말하는 무쓸모 영양제
144
이슈·소식
l
교회 6개월차 서인영이 교회 가서 하는 일
53
국밥집 8대 죄악
1
10:56
l
조회 520
다이소에서 판매한 의외의 물건들
10:17
l
조회 4025
고양이 잘 있냐고 물어봤더니 언니가 보내준 사진
14
10:00
l
조회 10072
l
추천 13
올해 태국군 징병 불합격 트랜스젠더
9:40
l
조회 3659
8kg 살쪘다는 일본 코스어
9
9:17
l
조회 10031
이번엔 얼마나 더 중독성있는 곡 가져올지 감도안온다는 여돌.jpg
1:32
l
조회 1301
맛도리 대물 구분할 수 있다는 여자
1:31
l
조회 2053
칸 영화제 초청 확정된 김도연 근황.jpg
1:19
l
조회 2716
l
추천 1
av 촬영 도중 뜬금 헤드스핀
1
1:00
l
조회 1465
일본인이 생각하는 광장시장 바가지
0:57
l
조회 828
썸남이 내 가슴 만지고 연락이 없어
6
0:52
l
조회 14386
모자가 큰 건지 얼굴이 작은 건지 모르겠는 소두 인증짤.jpg
0:44
l
조회 762
미국인들이 일상에서 진짜 많이 먹는다는 음식
6
04.15 22:24
l
조회 10374
정지영 감독 "조진웅 은퇴는 충격... 식사 제안했지만 정중히 거절"
8
04.15 21:38
l
조회 6459
중고 장터 🛒
내 물건 팔기
30000원
동원참치 t28호 선물세트
라이트 스텐다드 참치 135g 6개 , 김치찌개용 참치 135g 4개, 고추참치 135g..
1500원
🩷연애 / 연락 / 합격 / 취업 / OX 🩷
누적상담 건 600 건 이상 / 재방문 단골많아용 - !카카오톡 오픈채팅 검색 인티 야옹타로..
3000원
타로와 사주 봐드립니다
카톡 재가입으로 인해 방이 달라졌습니다...!!재입장 부탁드립니다 ( _ _ ㅠㅠXX 채팅 XX(알림이..
4250원
티빙 한달 / 두달
티빙 프리미엄 월간 함께 합시다두달동안 할 예정인데 한달만 하셔도 됩니다월 4000
69000원
드파운드 오브백 새상품
010 9907 5916 으로 연락 주세요^^원가 138000원인데 반값에..
3000원
❤️🔥새벽가능/영타로/사주상담❤️🔥
상담비밀보장 카드공개(시간상담일경우 질문이 여러개라서 일부만 보여드려요 카드는 매질문마다 뽑아서 보고있어요)..
5000원
첫질문 원쁠원❤️베라트 영점타로❤️
카똑 들어가시면포스트에 후기 많아요 첫방문첫질문 원쁠원이십니다
3000원
미친 가성비➕소름돋는 적중력✨ 후기가 증명하는 밤비타로💝
안녕하세요! 밤비타로입니다 단순히 긍정적인 말이나 희망고문을 전하기보다는,지금 내담자님께 꼭 필요한 이야기..
아이린이 좋아하는 디저트
04.15 20:58
l
조회 4747
모자가 큰 건지 얼굴이 작은 건지 모르겠는 소두 인증짤.jpg
10
04.15 20:16
l
조회 16538
문상민 : 나 사실 엔시티위시야. 사쿠야 : ?
2
04.15 19:26
l
조회 3038
킥복싱 세계 챔피언이 말하는 실전 최강 무술 .jpg
04.15 18:12
l
조회 1430
데뷔한지 8일차 된 신인 남자아이돌의 순수한 질문
1
04.15 17:54
l
조회 1053
서울 9호선 출퇴근러들의 숨막히는 일상
3
04.15 15:39
l
조회 2395
더보기
1
2
3
4
5
6
7
8
9
10
다음
이슈
일상
연예
드영배
11:22
1
키오프 🔞안무논란 라이브에서 심경 밝힘..JPG
20
2
"6억 들였는데 두 달만에…" 명랑핫도그 '사라다빵'의 눈물
3
현재 직장인 외식메뉴로 위상이 달라진 음식..JPG
16
4
김치전 김밥
5
5
대구 캐리어 시신 사건 조재복 전처 사이의 자녀도 살인 정황
6
"축의금 수금 파티?"...40살 직장동료의 '독신파티' 초대장에 당황
22
7
금발통 오게 만드는 이채연 금발…jpg
14
8
고양이 잘 있냐고 물어봤더니 언니가 보내준 사진
13
9
청룡 신인상 받은 김도연 이번 영화가 기대되는 이유...jpg
10
🐶개 산책 시키는 로봇개
4
11
금요일 파리바게트 네이버페이 결제시 50% 할인해
7
12
여러분 꿈빛 파티시엘 큰 거 옵니다
1
13
선의의 거짓말
1
우리 엄마 주식으로 매일 50씩 버는데
18
2
방금 당황해서 지웠는데 내 신발 맞아!
11
3
아 우리집 초딩 ㅋㅋㅋㅋㅋㅋ 커톡프사 개웃기다
6
4
영업팀 지원했는데 50대 경력자를 내가 어케 이겨
19
5
월 230 버는데 내가 돈 관리를 못하는 걸까?
11
6
가난해도 애낳고 키우는거 가능한듯
4
7
박살 나고 있다는 독일 자동차
1
8
20년지기 친구 아버지 조부상 못가게될것같은데 손절당하려나...
5
9
중소 사무직 다들 엄청 지원하던데 내가 지원한곳은 지원안하네
11
10
바르닭 1+1 하는데 글이 하나도 없네
7
11
요즘 지하철에서 폰으로 글 써놓고 번호 따는거 개웃낌
2
12
연봉은 올랐는데 기본급 깎이는거 괜찮나..?
6
13
야구 좋아하는 익들아 5월 1일~5월 5일 사이에 NC파크에 경기 있니?
7
14
삼성페이 쓰는 사람들 1초대고 가버리는 거 황당함
1
15
중소 면접봤는데 이런 일이 생기면 어떻게 해야 돼???
6
16
얘들아 오늘 세월호 12주년이래!
17
앞으로 회피형 불안형 같은 단어 유행 안 했음 좋겠다
18
엥 여드름 염증주사 맞았는데 엄청 싸..
19
뭔가 나는 스케줄제 근무가 안 맞는것같아...
20
아니.. 하 이걸 어케 설명해줘야 이 친구가 이해할까 나는 할만큼 설명한 것 같은데
1
정보/소식
BTS 진, 혼자 앨범 크레디트 빠진 이유 "욕심 부렸다면 몇 달 늦어졌다”
2
ㄱㄱㅇ 음방 4주 동안 썸네일 1번도 없었음
4
3
정보/소식
[단독] 하이브·SM·JYP·YG 합작사 만든다
8
4
정보/소식
'불후의 명곡' 자체 최저 시청률 위기 속 여의도 무료공연, 지누션→NCT WISH..
2
5
소신발언인데 오프에서 중국팬들 왤케 욕하는지 모르겠음
49
6
헐 위시 불후의 명곡…?
7
체조도 천막치고 공연한적있어?
2
8
정보/소식
[단독] 前피프티 3명 컴백 예고..'안성일 16억 탬퍼링' 항소심 5월 시작
9
사생활 보호필름 쓰는 익....
25
10
엔하이픈 단체 화보 온당
5
11
장하오 손잡고 뛰는 한유진
12
지디가 메이저리그 선수에게 사인볼주는 상황 뭔디
13
다이어터들아 너네 점심 뭐먹니...
3
14
제니 타임지 영향력있는 100인에 뽑혔대..왓
8
15
중녀들 질서도 판바판임
2
16
놀티는 운이야?
1
17
장터
8시 네이버 팝업 예약 용병 구해요
1
18
외 에스파 이노래도 개좋다
1
19
앤더블 토담즈 붐은 온다
6
20
제베원 이번 자컨 옛날 런닝맨 같다
7
1
윤경호 이런연기 최고인듯
2
2
대군부인
이안대군 이거 너무 웃겨 ㅋㅋ
28
3
대군부인
선공개 이제봤는데 궁 들어간후에
3
4
대군부인
이번주 9시50분 방송이지? 저번주 보다 러닝타임도 짧아지는거야?
19
5
근데 박지훈 몸이 10개임? ㅋㅋㅋ
5
6
대군부인
희주 자세를 봐
8
7
대군부인
3회 텍스트예고
18
8
변우석
대군자가 되게 앙칼지시다
15
9
더글로리때부터 생각한 건데 임지연
7
10
대군부인
그냥 개설렌다
11
11
대군부인
정성군 이분이신거 같아
3
12
안성재 아이유야식평가 기사제목개웃기네 ㅋㅋ
15
13
김혜윤 서프라이즈 무인(feat. 장화홍련)
13
14
정보/소식
[단독] '무빙2' 봉석 역, 신인 원규빈 낙점…'해병대' 이정하 빈자리 채운..
40
15
정보/소식
이동욱·전소니 불륜에 고통받는 정유미..'러브 어페어' 호흡 [공식]
1
16
대군부인
희주 최상궁한테 시집살이 당하는 줄 알았는데
12
17
대군부인
생각해보니까 이안대군 마음 자각하는 거 개빠르다
9
18
대군부인
이안대군이 자꾸 웃어 ㅋㅋㅋㅋ
9
19
미디어
[21세기 대군부인] 3-4회 스페셜 선공개 영상
102
20
임지연 진짜 옥씨부인전에서 연기를 너무 잘했음
4
인스티즈앱 설치
소개
이용 문의
광고/제휴
채용
권리 침해
개인정보취급방침
(주)인스티즈 사업자등록번호 : 655-86-00876
통신판매업신고 :
2017-서울강남-03991
대표 : 김준혁
© instiz Corporation