호출 예약
호출 내역
추천 내역
신고
1주일 보지 않기
카카오톡 공유
https://instiz.net/name_study/119804
주소 복사
상세 검색
카테고리
기간
시간순
조회순
추천순
댓글순
스크랩순
~
기간 탐색
회원가입
이용 방법·규칙
ID 저장
자동 로그인
HOT
이슈
일상
연예
드영배
장터
픽션
공포
뷰티
스터디
iChart
출석체크
게임
변경
인기글
전체 게시물 알림
스터디
잡담
잡담
중/고등학생
대학/편입/유학
자퇴/진로
자격증/외국어
수능/재수
예체능
특성화/특목고
공무원시험/특례
대학원/임용
혹시 미국에서 여행 중이신가요?
여행
l
외국어
l
해외거주
l
해외드라마
이과인 수학 잘하는 익인이 있니?
4
10년 전
l
조회
84
인스티즈앱
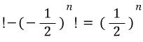
!는 절댓값 뜻하는 거고
왜 이렇게 되는지 알려주면 진짜 진짜 감쟈해
연관글
영어 잘 하는 익인???ㅠㅠ
패션디자인과 나 패션쪽 과 다니는 익인이들..
익인이들이 말하는 인서울 애매한 대학은 어..
51
수학잘하는익인들아조언좀....
23
고1인데 사립이라 문이과 반 수는 정해져 있..
과학잘하는익들ㅠㅠ이거 무슨색으로 바뀐건지..
3
국어 잘하는 고3익인이나 잘핬던 성인 익인들!!..
3
익인1
저 n이 짝수면 괄호 안에 마이너스가 없어지고 괄호 밖에 있는 마이너스가 붙는데 절댓값이 붙어서 없어지니까
10년 전
익인3
n이 홀수면 괄호 안 마이너스가 밖 마이너스랑 만나서 없어지고
10년 전
글쓴이
오오오오 고마워ㅠㅠㅠ
10년 전
익인2
n이 홀수일 때 괄호안에서 -가되는데 괄호밖에 -있으니 양수
10년 전
로그인
후 댓글을 달아보세요
이런 글은 어떠세요?
AD
왕 내 밥 와따🙀💓💕☘️👍😍🥰✨
일상 · 1명 보는 중
크리스마스 성수기 뽕뽑기 시작됨
이슈
현재 역대급 피폐라는 이혼숙려캠프 최신화..JPG
이슈 · 2명 보는 중
친정에서 아빠한테 소리지르고 싸우고 나왔는데 내가 너무 심한거?
이슈 · 6명 보는 중
AD
암투병 후 남편과 한공간에 있기조차 싫어요
이슈 · 4명 보는 중
AD
현재 미감+추구미 미쳤다는 차준환 올림픽 의상..JPG
이슈 · 5명 보는 중
[단독] 올리브영인 줄 알고 갔더니 '온리영'…중국서 모방 매장 등장
이슈
서울 안사는 사람은 라면 물 많을 때 뭐라함
이슈 · 3명 보는 중
AD
AD
한국 예수 생카 틱톡 해외 반응.jpg
이슈 · 3명 보는 중
아직도 스포?) 후덕죽 " 흑백2 섭외 한달간 거절, 얼굴 한번 비치려 나갔다가 "
이슈
AD
X에서 𝙅𝙊𝙉𝙉𝘼웃기다고 난리난 초등학교 교육근황
이슈 · 1명 보는 중
9급 합격한 친구의 인생 모토
이슈 · 5명 보는 중
AD
현재 1000플 터진 본인 립스틱 모양..JPG💄
이슈 · 2명 보는 중
한국인만 알 수 있는 다음말
이슈
이게 연애 프로그램인지 용과 함께인지...jpg
이슈 · 4명 보는 중
'문원♥' 신지, 상다리 부러지는 8첩 반상… 결혼 앞두고 축하할 소식
이슈 · 3명 보는 중
AD
전체
HOT
정보/소식
팁/자료
기타
댓글없는글
공시
국어 영어
1
고등학생
학교 책상이 너무 작아
했던거 까먹고 까먹고ㅠ
같이 스터디했는 언니랑 진대할까
동국대 경영 vs 숭실대 경영 vs 인하대 경영
6
01.18 22:18
l
조회 224
공부하고싶다
1
01.11 18:44
l
조회 119
선생님이 수업하면서 퇴근하고싶다고 자꾸 말하면
3
12.09 02:10
l
조회 184
절친이 공부는 하고 싶은데 시작을 못하겠다는데 핑계아니야?
11.14 16:01
l
조회 144
공부 중에 이별을 했는데 어떻게 다시 연락이 됐다면
4
10.15 21:28
l
조회 298
나 2N살 일본어 공부 시작했어
3
10.10 11:22
l
조회 317
이직했는데 이제 3주살짝안되었거든
1
09.25 18:16
l
조회 235
공부할때 외로우면 다들 머해?ㅠㅠㅠㅠ
2
09.12 00:23
l
조회 422
논술 동덕여대 쓰는거 어캐 생각해?
3
09.07 14:05
l
조회 381
12시까지공부할거임
09.03 21:56
l
조회 239
책 읽는데 글을 읽어도 이해를 못하면
1
08.04 16:36
l
조회 176
문제풀이
화학시험과정!!
06.11 10:31
l
조회 167
알바 후 태도 변화
05.12 13:49
l
조회 1151
다들 서서 공부 잘돼..?
04.18 15:42
l
조회 763
중고 장터 🛒
내 물건 팔기
2000원
Skt 데이터 팔아요
1기가 2000원2기가 가능
35000원
제미나이 프로 1년 모집
제미나이 1년 모집합니다〈2종류>1.드리는 계정으로 접속하셔서 사용하시면 됩니다2.가족초대 가능합니다 독..
100000원
엠엘비 엔젤윙 자수커스텀 볼캡 네이비
MLB 시그니처 스트럭처 볼캡 네이비 59 사이즈 (58~59cm)천사 날개 자수 커스텀..
8000원
인티에서 6년째-유튜브 월결제 모집
안녕하세요 유튜브 프리미엄 월결제로 사용가능합니다 일대일 챗주세요감사합니다
12750원
3개월✨️넷플 프리미엄 장기공유중
넷플릭스 3년째 장기공유중한분이 빠지셔서 공유합니다1달의 한번결제가 번거로워 3개월씩 끊어서 공유중입니다공유..
10000원
🔮바로상담! 8년경력/ 속마음 취업운 전문 🔮
태어나길 용궁줄 잡고 태어나 촉 좋은 안경 타로 입니다.*꼭 읽어주세요! 읽지 않..
3000원
🩷 연애 / 재회 / 합격 🩷 재방문 • 후기 많은 타로 ! ☺️
누적상담 건 600 건 이상 / 재방문 단골많아용 - !카카오톡 오픈채팅 검색 인티 야옹타로..
4200원
넷플릭스 프리미엄 1분 구합니다
넷플릭스 프리미엄 1분 구합니다!티비연결 가능해요월 4,250원 입니다!
줄서기 오픈런 알바
2
04.17 20:21
l
조회 1093
취미로 자격증
04.01 11:38
l
조회 672
굿노트
03.28 00:24
l
조회 5961
이거 몇 칼로리 될까?
2
03.26 19:11
l
조회 471
l
추천 1
학사 두번 vs 학사+석사 뭐가 나을까?
12
03.25 17:44
l
조회 3977
l
추천 1
과제? 대신해주는거 이거 괜찮은거야?
03.09 11:02
l
조회 2798
더보기
1
2
3
4
5
6
7
8
9
10
다음
끝
전체 인기글
일상
연예
드영배
15:22
1
나 오늘 스벅에서 당황함 그 컵 얻으려고
26
2
인천공항 1터미널에서 타면 거지야?..
17
3
은근 논란이라는 업보 여부.jpg
7
4
현재 지금이랑 똑같다고 붐업되고있는 박지훈 과거.jpg
3
5
나한테 제발 살빼라고 잔소리 하는 엄마 특.jpg
3
6
집안이 지나치게 엄격하면 안되는이유.JPG
7
일반인중에서 예쁘고 연예인 같단말 듣는데
9
8
어른들이 공무원 좋아하시는거
20
9
동남아에서 유행하는 쌍꺼풀 줄이는 수술
41
10
현재 전국 약사들 𝙕𝙄𝙍𝘼𝙇 중인 창고형 약국..JPG
80
11
키보드와 아세톤이 만나면?
2
12
후리스는 괜찮을줄 알았어..
2
13
158/53에서 정체기 뚫고 47키로대 진입 완..
3
14
뉴진스 해린이 좋아한다는 자세.gif
1
15
밖에 날씨 역대급이야
16
인니가 일본에 진 빚
1
17
전업취준생 29살먹고 기사필기도 1점차이로 떨어짐
3
18
나만 회사에 구내식당 없는게 더 좋아?…
4
19
피겨 김연아 x 디올 보그 코리아 3월호 화보
7
20
애인이 정말 좋으면 데이트비용 다 내실수있나요?
12
1
나 오늘 스벅에서 당황함 그 컵 얻으려고
23
2
인천공항 1터미널에서 타면 거지야?..
12
3
일반인중에서 예쁘고 연예인 같단말 듣는데
8
4
어른들이 공무원 좋아하시는거
20
5
158/53에서 정체기 뚫고 47키로대 진입 완..
2
6
후리스는 괜찮을줄 알았어..
1
7
밖에 날씨 역대급이야
8
전업취준생 29살먹고 기사필기도 1점차이로 떨어짐
3
9
나만 회사에 구내식당 없는게 더 좋아?…
4
10
교사랑 대기업 중에 시켜주면 뭐할거임?
12
11
어른들 인식은 공기업이 제일 좋은거같음
3
12
졸업식 꽃다발 보통 얼마짜리 사 ㅜㅜ?
2
13
전문직 준비하는 사람들이 공시준비하는거 무시하는거 어이없음
3
14
유럽여행 비행기값얼마 들었어?
4
15
내가 일하는 병원에 가족이 입원하게됐는데 보통 수쌤한테 말씀드려도돼...?
1
16
솔직하게 말해주라 운전 재밌다vs하기 싫다
3
17
??서울 양재 하남 고척 양평 중 어디가 젤 살기 좋음??
2
18
서울 아니면 대전 살고 싶어ㅠㅠㅠ
7
19
오늘 숏패딩 에바?
20
연예인이랑 안맞는 사주중에
1
1
정보/소식
신동엽, 시상식 현실 폭로…"사귀었던 연예인들끼리 자리 바꿔달라 난리" (제이팍씨)
2
2
헐.... 제베원 이거 뭐야.... 진짜야?
26
3
다음주 나혼산 예고에 구성환 집 나왔는데 꽃분이 안보여서 어디갔지 했거든ㅠㅠ
9
4
왕사남 500만까지 갈줄 알았냐
12
5
제베원 로고
6
6
오늘 슴돌 다 뭐하나보네
1
7
ㅁㅊ오시온 염색
8
재희 픽션 미쳤다ㅜㅜ
9
왕사남 백구 우유먹는거봐 ㄱㄱㅇㅇ
3
10
유우시 여돌춤 담당 맞으시다
1
11
ㅇㄷㅇ 7명 되면 온전한 센터가 생기는데
27
12
이거 안무 틀린거야 아니면 원래 안무야?
9
13
아니 위시 팬미에서 대체 얼마나 말아주는거임
14
500만 됐네? 추카추카
1
15
위시는 역시 컨셉에 걱정이 없다
16
위시 스탭분 옷 이거
6
17
유튜버 지새기 아는 사람 진짜 영상들 다 개재밋어
7
18
야 나 티켓안들고옴 미1친
1
19
와... 나 앞으루 운전안할래 ㅋㅋ ㅠㅠㅠ
6
20
번장이랑 티베중에 양도할때 뭐가편해?
3
1
꽃분이가 나이가 많았어...?
4
2
왕사남 스코어 여기서 멈춰도 이미 대박 아니야?
9
3
벌써 500만이라고..?
8
4
솔직히 영화값 이렇게 비싸지 않았다면
10
5
왕사남 n차하니까 초반 가볍게 간게 잘 잡은듯
3
6
왕사남 500만 무인에서 나온 말이야?
2
7
왕사남 1000만 나오던 때면 ㄹㅇ 넘었을 수도 있겠다....
2
8
엄흥도와 단종의 부성애 같은 충심이 생긴 계기가
5
9
레이디 두아 신혜선 진짜 이름이 뭐임?
11
10
왕사남 영화관 진짜 꽉차네
11
11
왕과 사는 남자
왕사남 500만🎉🎊
7
12
박지훈 오늘 무인 도련님등장ㅋㅋㅋㅋ
1
13
왕사남 최종 스코어 얼마라고 봄?
26
14
레이디두아
민들레쌤 연기가 정말 괜찮아?
10
15
왕사남으로 박지훈 입덕한 사람 많아보인다
3
16
목가희 하...
17
휴민트 보고 왔는데
5
18
왕과 사는 남자
팀왕사남 진짜 좋다
19
박지훈 이거 무슨 영상이야??
2
20
황금빛 내인생 본 사람..
1
인스티즈앱 설치
소개
이용 문의
광고/제휴
채용
권리 침해
개인정보취급방침
(주)인스티즈 사업자등록번호 : 655-86-00876
통신판매업신고 :
2017-서울강남-03991
대표 : 김준혁
© instiz Corporation