안녕하세요! 평소에 우주에 관심이 많은 평범한 대학생 우주성애자입니다.
엽혹진에서 꼭 해보고 싶었던 우주에 대한 지식, 현상, 이론등등 여러가지를 소개하고 싶었는데요.
드디어 첫 번째 우주에 존재하는 4가지힘으로 시작합니다.
아마추어도 아닌 그냥 취미이므로 잘못 적혀있더라도 이해해주시면 감사하겠습니다.
현재 우리가 살고 있는 우주에는 어떤 힘들이 존재하는지 생각해보신 적이 있으십니까?
우주는 우리에게 먼 존재이므로 상관이 없다. 또는 학교, 학원 수업 등으로 배웠지만 점수를 위한 것일 뿐이다. 등등
여러분들은 깊이 생각해보신 적이 없으실겁니다.
하지만 원자, 분자 등을 묶어주는 힘, 우리가 지구에서 날라가지 않고 땅에 붙어있을 수 있는 힘,
우리가 TV, 위성등으로 통신을 할 수 있는 힘 등 의외로 우리에게 굉장히 가까운 곳에 있습니다.
지금부터 그것들에 대하여 알아보도록 하겠습니다.
우주에는 4가지의 힘이 존재합니다.
바로 강력, 약력, 전자기력, 중력입니다.
이것들을 하나하나 알아보도록 하겠습니다.
그 첫번째! 바로 강력입니다.

I. 가장 강력한 힘 강력
우리는 양성자와 중성자가 서로 묶여있음을 알고 있습니다 이러한 힘을 강력이라고 하는데요
만약에 강력이 존재하지 않았다면 모든 원자핵들이 분해될 것이고, 우주를 구성하고 있는 원소가 106종인 이유는
핵력에 의해 핵자들이 안정된 결합을 할 수 있는 경우가 106가지이기 때문입니다
또한 항성이 아인슈타인의 E=MC²을 통해 빛을 방출할 수 있는 것도 핵력과 약력이 함께 작용한 결과이고요
참고로 강력의 크기를 1이라 하면 약력은 10⁻⁹, 전자기력은 1/137, 중력은 6×10^-39입니다

II. 매개입자
강력의 매개입자로는 글루온과 쿼크가 있습니다 쿼크는 한 번쯤은 들어보셨을 거에요
바로 쿼크 3개로 핵을 구성하는 기본입자입니다 그리고 글루온이라는 생소한 매개입자가 있습니다
위에서 말했듯이 핵은 쿼크 3개로 구성이 되어있는데 이 3개의 쿼크를 결합시킬 수 있는 힘이 바로 글루온입니다
두번째의 힘은 바로 약력입니다.

I. 붕괴시키는 힘 약력
강력에 비해 10⁻⁹배의 힘을 가지고 있는 약력은 핵들을 한데 묶어놓을 정도로 강하지 않기 때문에
핵자들이 떨어져 나가거나 방사능 붕괴과정에서 작용을 합니다
또한 약력은 방사능물질을 통해 지구의 중심부를 뜨겁게 달궈서 화산활동을 일으키는 근본적 원인이기도 하고요
약력은 전자와 뉴트리노의 상호작용에 기초하고 있는데, 이 과정에서 W-보존과 Z-보존이 교환됩니다
II. 매개입자
위에 쓰여듯이 약력의 매개입자는 W-보존과 Z-보존인데요
먼저 W-보손의 이름은 약한 상호작용을 뜻하는 영단어 "weak"의 머리글자에서 땄고, 전기적으로 ±1전하를 가집니다
(즉 W+은 양전하를, W−은 음전하를 가진다는 뜻이에요)
아이소스핀은 ±1/2 질량은 80.4 GeV/c²을 가집니다 Z-보손은 전기적으로도
아이소스핀으로도 모두 중성, 질량은 91.19 GeV/c이다 표준 모형에 의해 예측된 입자이며, 1979년 CERN에서 발견되었습니다
세번째 힘은 전자기력입니다.

I 우리들의 생활에 필수인 전자기력
도시의 밤거리를 밝히고 TV를 볼 수 있게 해주며 이동전화와 라디오 레이저빔 그리고 인터넷까지 가능하게 만들어주는 것이 바로 전자기력입니다
만일 전자기력이 사라진다면 지금의 문명은 당장 수천 년 전으로 되돌아가 암흑과 고요 속에 잠길 것입니다
그런 전자기력을 초미세영역에서 자세히 들여다보면 모든 것은 광자라는 작은 입자에 의해 전적으로 좌우되고 있습니다.

http://www.biologyaspoetry.com/terms/photon.html
II 매개입자의 종류
물질은 파동성과 입자성 두 가지 성질을 지니고 있는데요
파동의 성질로 본다면 빛은 전자기파에 해당하며 이를 전자기력의 매개입자는 바로 광자라고 합니다
광자 한 개의 에너지는 플랑크 상수(h)에 빛의 진동수(v)를 곱한 값, 즉 hv이고, 운동량은 hv/c(c는 광속)입니다
III 전기와 자기는 하나 맥스웰의 전자기이론
스코틀랜드의 에든버러에서 태어난 영국의 이론 물리학자이자 수학자인 맥스웰은 전기 및 자기 현상에 대한 통일적 기초를 마련을 하였습니다.
우리가 한번쯤 들어는 봤었던 맥스웰의 방정식이 바로 그것입니다.
네번째 힘은 중력입니다.

I 끌어당기는 힘 중력
중력은 너무나 유명하여 설명이 필요없을 정도지요 어떤 질량이 가진 물체에 작용하는 인력 즉 끌어당기는 힘이라고 생각하면 쉬울 것입니다
강력을 설명할 때 보셨지만 우주에 존재하는 4가지의 힘 중에서 가장 약합니다.
그런데 제일 힘이 약한 중력이지만 시공간을 왜곡이라는 엄청난 현상을 발생시키는 신기한 힘이지요.

http://travelfacebook.tistory.com/m/post/1270
II 매개입자는 존재할까?
강력, 약력, 전자기력은 각자 고유의 매개입자를 가지고 있습니다
하지만 신기하게도 중력은 매개입자가 발견되지 않았습니다.
중력은 다른 힘들과는 다르게 시공간에 영향을 주기 때문에 양자역학적으로 설명이 불가능합니다.
과학자들 사이에서는 "양자역학"과 "상대성이론"을 합친 "양자중력이론", 그리고 시공간을 양자화시킨 "루프양자중력"등을 이용하여 중력자라는 매개입자를 도입하고 있습니다.
하지만 실제로는 관측/발견되지가 않았으며, 중력간의 상호작용을 나타내기 위하여 가정되었을 뿐입니다.

III 뉴턴의 중력과 아인슈타인의 중력
고전 물리학과 현대 물리학으로 나누는 기준점을 만든 바로 뉴턴과 아인슈타인입니다
뉴턴과 아인슈타인의 중력에 대한 차이점은 바로 시간이라고 생각하는데요
뉴턴은 시간은 우주에 단 하나만 있으며 누구에게나 다 똑같은 시간이라 생각하여, 신이 만든 이 시간을 ‘절대시간’이라고 불렀고,
아인슈타인은 우주에는 관측자마다 제각기 다른 여러가지 시간이 존재하는 ‘상대시간’이라고 불렀습니다
외전. 힘을 하나로
ⅰ 와인버그-살람 이론
1967년 스티븐 와인버그와 앱더스 살람은 전자기력과 약력의 통일이 가능하다는 것을 입증을 하였습니다
이들은 전자와 뉴트리노가 새로운 입자인 W-보손, Z-보손 그리고 광자를 교환하면서 상호작용을 주고받는 새로운 이론 체계를 만들어 냈습니다
ⅱ 표준모형
1970년대 중반에 물리학자들은 자연에 존재하는 네 종류의 힘들 중 중력을 제외한 세 개의 힘을 하나로 통일하는 이론을 완성한 이론입니다
이 이론에 의하면 쿼크와 전자, 뉴트리노는 각각 글루온과 W-보손, Z-보손, 광자를 교환하면서 상호작용을 하고 있습니다
ⅲ 대통일이론
이 이론은 이름에서도 예상할 수 있듯이 4개의 힘을 모두 하나로 통일하려는 이론입니다
하지만 이 이론 역시 중력을 포함시키지 못 하고 있어 성공을 하지는 못하였지만
초끈이론, 자기홀극(N극 또는 S극만 가지고 있는 자석), 가짜진공등을 설명하는 곳에 아주 유용하게 사용되어지고 있습니다
이번에는 두번째 우주 끈의 세계입니다
아마추어도 아닌 그냥 취미이므로 잘못 적혀있더라도 이해해주시면 감사하겠습니다
우리 우주에는 무엇으로 이루어져 있는가 생각해보셨습니까?
이러한 의문을 풀기 위해서는
첫 번째로는 현재 우주를 이루는 물질이나 에너지의
정체를 소립자와 관련지어 밝히는 일
두 번째로는 그러한 소립자나 시공간이 무엇으로
이루어져있는지를 찾아보는 일입니다
지금 소개해드리려는 우주 끈의 세계는 두 번째 측면에 대해 얘기를 합니다
우주를 담고 있는 시공간과 그 안을 채우고 있는 에너지와 물질의 기초는 무엇이였을까요?
이것을 설명하기 위해 현재 우주의 근원에 궁극적 요소로
가장 주목받고 있는 후보가 바로 ‘끈‘입니다

I. 끈이론
‘끈 이론’이란 과연 무엇일까요?
‘끈 이론’은 아주 우연히 발견되었습니다
‘끈 이론’은 1968년 ‘가브리엘레 베네치아노’와 ‘마히코 스즈키’ 물리학자들이
18세기 천재 수학자였던 '오일러'가 발견한 '오일러 베타함수'를 푸는 중에
원자세계 물리학인 '강력의 산란행렬'이 바로 '오일러 베타함수'와 일치한다는
사실을 발견했었습니다
이 과정에서 '가브리엘레 베네치아노'가 '이중 공명 모형'이라는 모형을 도입하였습니다.
[원자 세계의 입자는 매우 작기 때문에 눈으로 볼 수 없습니다
그렇기 때문에 엄청난 에너지로 입자끼리 충돌시켜 내부구조를 관측을 하였는데,
이 실험의 최종목적은 바로 산란행렬을 이루는 숫자를 알아내는 것이였습니다
이 숫자에는 아원자세계의 모든 정보들이
있었기 때문에 산란행렬이 알려지면 모든 소립자의 특성을 알 수 있게 됩니다]
그리고 1969년 난부 요이치로와 홀게르 베크 닐센, 레너드 서스킨드 등이
독자적으로 이중 공명 모형이
사실 진동하는 끈들을 나타낸다는 사실을 증명하였고,
이후 이중 공명 모형은 '끈 이론'이라는 이름으로 불리게 되었습니다
이제 어떻게 끈이론이 적용되는지 알아보겠습니다.

http://www.ngmmath.com/cafe/home/board/brd_print.jsp?brd_srl=14522&brd_id=firerager_b_1&brd_cate=
양자의 일종인 전자는 ‘구조를 가지지 않는다’라는 측면 때문에
기본적으로 ‘점‘이라 정의를 했었습니다
하지만 입자들을 ‘점’이라 정의를 해놓으면
첫째, 뉴턴의 중력에 따라 임의의 점입자에 가까이 접근하게 되면
중력이 무한대가 되버리는 현상
둘째, 소립자의 존재들을 설명하기 위하여 수백 가지의 점입자의 도입
여러 문제가 발생이 됩니다
이러한 문제들을 해결하기 위하여 ‘파인만’의 ‘재규격화이론’에 의하여 무한대를 제거하거나
무한대문제를 ‘옆으로 치워놓는 식’으로 과학자들은 해결해왔지만
‘양자중력이론’에서는 ‘파인만’의 ‘재규격화이론’도 통하지 않았습니다
이 모든 것이 입자를 ‘크기가 없는 점’으로 간주했기 때문입니다
그러나 입자들을 ‘점’이 아닌 ‘끈’으로 정의를 한다면?
과연 어떤 일이 벌어지게 될까요
‘양자론’에 의하면 에너지는 진동수에 비례하고,
‘상대성이론’에 의하면 질량은 에너지에 비례합니다
즉 ‘끈’은 ‘양자론’과 ‘상대성이론’을 모두 따르기 때문에
‘끈’의 ‘질량’은 ‘진동수’ 그 자체가 됩니다
그리고 끈 이론에 의하면 점입자와 다른 위상을 갖고 있기 때문에
무한대 문제가 발생하지가 않습니다
[쉽게 말하면 끈은 유한한 길이를 갖고 있으므로 가까이 접근해도
힘의 크기가 무한대로 커지지 않습니다]
[수학적으로 표기하면 끈 근처의 힘은 1/L^2에 비례하는데,
L 즉 끈의 길이는 플랑크의 길이 10^-33cm이므로 무한대 문제를 해결할 수 있습니다]
[수학적으로 표기한다고 하였지만, 진짜로 이 부분을 수학적 증명을 위해서는 ‘타원 모듈라함수’라는 함수 도입이 필요합니다 작성자는 멍청하므로 건너뛰겠습니다]
자 그럼 이제 입자를 어떻게 ‘끈’으로 설명할 수 있을까요?
이 ‘끈’은 ‘진동을 하는 끈’입니다
이 진동하는 작은 ‘끈’들이 서로 다른 진동수를 가지기 때문에
수 백가지의 입자들이 존재하는 것이고,
이 중 어떤 하나의 입자를 골라 기타 줄을 팅기듯이 잡아뜯는다면
끈의 진동패턴이 바뀌게 되어 다른 입자로 변하게 됩니다

칼라비-야우 공간
그리고 이 ‘진동하는 끈’들은 평소에 우리가 살고 있는
3차원, 시간차원을 도입한 4차원이 아닙니다
더 높은 차원인 10차원 또는 11차원의 공간에 있습니다
이 ‘끈’들의 공간을 바로 ‘칼라비-야우 공간’이라고 합니다
이런 이상한 고차원에 공간에 있는 이유는 수학적 증명에 의해서 입니다.
[참고로 ‘칼라비-야우 공간’은 높이 방향은 작게 뭉쳐서 줄어들어 있다고 합니다]
이론에 대하여 정말 많은 논문이 발표되고 그에 따른 이론도 많이 있지만
관측기구들이 그 미세영역까지 볼 수가 없기 때문에
실제로 '끈'이 맞는지 아니면 현미경으로 보였던 '점'이 맞는지는 모릅니다.
정말로 소립자들이 끈으로 이루어짐을 발견한다면 입자들을 강제로 변환시키는 마치 연금술하는 날들도 오지 않을까요?
세 번째 블랙홀 시작합니다.
이번 편은 내용이 많을 것 같아서 2개로 나눠서 올리도록 하겠습니다.
아마추어도 아닌 그냥 취미이므로 잘못 적혀있더라도 이해해주시면 감사하겠습니다.
여러분은 블랙홀 아시나요?
눈으로는 볼 수 없고 특수촬영으로만 관측가능한 신기한 천체
더욱이 영화 인터스텔라로 인해서 더욱 유명해졌죠.
그래서 이번에는 블랙홀에 관해 써볼려고 합니다.
I. 블랙홀의 등장
1783년 영국의 천문학자인 존 미셀은
"빛이 빠져나오지 못할 정도로 별의 덩치가 커지면 어떤 일이 벌어질까?"
라는 의문을 최초로 떠올렸습니다.
다들 아시다시피 모든 천체들은 자기 주변에 중력을 행사하고 있기때문에
천체의 표면에 있는 물체가 중력으로부터 벗어나려면 엄청난 속도로 출발을 해야합니다.
이것을 바로 탈출속도라고 합니다.

지구에 인공위성처럼 둘레를 도는 속도인 제1우주 속도는 7.9km/s[마하23]
위에서 언급한 지구의 중력을 탈출하기 위한 속도인 제2우주 속도는 11.2km/s[마하33]
태양계를 벗어나기위한 속도인 제3우주 속도는 12.4km/s[마하36]
하지만 존 미셀이 언급한 것은 별의 질량이 너무 커서 탈출속도가 광속보다 빠른 경우였습니다.
이런 천체들은 어떤 것도 탈출이 불가능하기 때문에
우주에서는 검은색으로 보여 관측이 불가능할 것입니다.
그렇기때문에 그 후 150년동안 학자들로부터 관심을 끌지 못하다가
1916년 독일의 물리학자인 칼 슈바르츠실트에 의해 화제가 되었습니다.
바로 당시 군복무 중이던 슈바르츠실트는 전쟁도중 아인슈타인 방정식인 텐서방정식의 정확한 해를 구했는데,
그 해는 별들의 중력을 설명해주고 있었습니다.
이어 슈바르츠실트는 2번째 논문에서 큰 별의 중심이 매직스피어라는
가상의 구형에 의해 둘러싸여 있음을 증명했습니다.

우주성애자
매직스피어란 어떤 물체가 천체를 향해 접근하다가 어떤 한계선을 지나면 다시 되돌아올 수 없는 경계선을 의미합니다.
[이것은 후에 슈바르츠실트의 반지름 또는 사건의 지평선이라 불리우게 됩니다.]
슈바르츠실트는 바로 이 매직스피어를 구하기 시작하였는데,
태양의 경우 매직스피어의 반지름은 3km
[지구의 매직스피어는 1cm]
즉 태양이 3km까지 줄어들게 되면 블랙홀이 된다는 말이 된다는 뜻입니다.
하지만 이것은 현실적으로 불가능 합니다.
1939년 아인슈타인이 블랙홀은 자연적으로 생성될 수 없다는 논문을 발표했는데,
일반적으로 별은 먼지와 기체, 그리고 다양한 물질들이 모여 소용돌이 치다가
중력에 의해 천천히 압축되면서 탄생됩니다.
하지만 이들끼리 중력에 의해 압축될 수 있는 한계는 슈바르츠실트 반지름의 1.5배이기 때문에
슈바르츠실트 반지름 이내로 압축 되지는 않아 자연적으로 생성될 수 없다고 했습니다.

같은해 1939년에 원자폭탄을 제작하는 맨하탄 프로젝트의 총책임자였던
로버트 오펜하이머와 제자 히틀랜드 스나이더는 다른 과정을 통하여 블랙홀이 생성될 수 있음을 증명하였는데,
바로 소용돌이치는 입자들이 중력에 의해 서서히 압축되면서 블랙홀이 마들어진다는 기존의 가정을 폐기하고
별의 핵 융합 반응이 끝난 매우 크고 오래된 별이 중력에 의한 내파를 일으켜 블랙홀이 생성된다고 주장을 했습니다.
예를 들면 별의 질량이 태양의 40배가 된다면
슈바르츠실트 반지름인 128km의 크리고 압축이 되어 블랙홀이 됩니다.
오펜하이머와 스나이더는 블랙홀의 존재가능성과 함께 모든 별들의 마지막 종착점은
블랙홀이라 주장을 하기도 했습니다.
II. 회전하는 블랙홀
1963년 뉴질랜드의 수학자 로이 커가 회전하는 블랙홀에 대한
아인슈타인 방정식의 정확한 해를 구함으로써 커다란 변화를 맞이하게 됩니다.

각운동량은 어떠한 경우에도 보존이 되어야하므로 중력에 의해 별이 안으로
수축될수록 회전 속도는 빨라지게 됩니다.
[김연아 선수가 회전을 할 때 팔을 안으로 오므렸을 때 회전속도가 더욱 빨라지는 것도
각운동량의 보존법칙에 의한 결과입니다.]

그렇게 되면 회전하는 별에서는 원심력과 중력이 서로 균형을 이루면서
내부의 중성자들이 원형 고리 모양으로 배열됩니다.

이러한 형태의 블랙홀을 커 블랙홀이라고 하는데 이 안으로 물체가 빨려들어가면 다른 블랙홀처럼 분해되지 않고
아인슈타인-로젠 다리를 거쳐 다른 우주를 이동하게 된다고 합니다.
로이 커는 이 사실을 발견하고 이렇게 외쳤다고 합니다.
"이 마술고리를 통과하면 반지름과 질량이 음수인 이상한 우주로 진입할 수 있다!"
그리고 커 블랙홀의 사건의 지평선을 통과할 때 사람에게 작용하는 중력은
사람이 죽일 정도로 강력하지는 않지만 다시 돌아올 수는 없게 만들 수 있습니다.
마치 고층건물의 승강기를 생각할 수 있는데 승강기는 건물의 각 층[각기 다른 우주]을 연결하고 있으므로
아인슈타인-로젠 다리와 같은 개념으로 생각할 수 있습니다.
하지만 고층건물의 승강기를 탄 후 위로 올라갈 수는 잇지만 다시 내려올 수 없는 형태가 됩니다.
바로 사건의 지평선을 넘어갔기 때문이지요.
[하지만 커 블랙홀은 2개의 사건의 지평선을 가지고 있는데
다른 물리학자는 2번째 사건의 지평선을 적절히 이용하면 왕복이 가능하다고도 합니다.
그래도 이것은 모두 이론상의 가정일 뿐입니다.]
이 커 블랙홀을 가지고 학자들의 의견은 두 갈래로 나뉩니다.
원형고리를 통과하는 물체가 블랙홀의 안정성을 교란시켜 입구가 금방 닫힌다는 의견
예를 들어 빛이 커 블랙홀로 진입하면 엄청난 에너지를 획득하면서 청색편이를 보이게 됩니다.
즉 빛의 진동수와 에너지가 크게 증가한다는 뜻인데 이런 빛이 사건의 지평선으로 진행하면
아인슈타인-로젠 다리를 건너려는 모든 것들을 사정없이 학살을 할 것이고,
이 빛으로부터 형성된 중력장이 원래의 블랙홀을 교란시켜 입구를 파괴시킬 수도 있습니다.
반면에 커 블랙홀이 가장 현실적인 블랙홀이면 다른 우주를 연결하는 통로라고 믿는 물리학자도 있습니다.
하지만 입구의 안정성과 사람의 안전 문제는 아직도 미지로 남아있습니다.
이번에는 네 번째 우주의 역설-벤틀리의 역설 시작합니다
아마추어도 아닌 그냥 취미이므로 잘못 적혀있더라도 이해해주시면 감사하겠습니다

아이작 뉴턴
엽혹진 여러분들 뉴턴이라는 인물을 아십니까?
영국의 물리학자·천문학자·수학자·근대이론과학의 선구자이며 수학의 미적분을 정립하였고,
물리학에서는 뉴턴역학의 체계를 확립한 인물입니다 희대의 천재이지요
이 뉴턴이라는 인물은 1687년 인류의 과학 역사상 가장 뛰어난 업적으로
평가되는 논문인 <자연철학의 수학적 원리> 일명 <프린키피아>를 발표했습니다

프린키피아
이 프린키피아는 천체의 운동들을 수학적으로 정확하게 계산/예견 할 수 있다는 보여준 논문이였습니다
하지만 이런 완벽할 줄 알았던 프린키피아는 우주의 생성과정에 대하여
다양한 역설과 논쟁을 불러 일으켰습니다
바로 우주는 유한인가 아니면 무한인가에 대한 이야기였습니다
I. 벤틀리의 역설

우주의 사진
사실 우주가 유한인가 무한인가에 대한 질문은 로마시대의 철학자 였던
루크레티우스가 이 문제에 대하여 이러한 결론을 내렸습니다
“우주는 모든 방향으로 무한히 뻗어 있다 만일 우주에 끝이 있다면 어딘가에 경계가 있어야하고,
이는 곧 우주의 바깥에 무언가 다른 것이 존재한다는 뜻이다 …그런데 우주를 이루는 모든 차원들은
아무런 방향성도 없고 그 외부에 무언가가 존재한다는 것도 확인된 바 없으므로 우주는 끝이 없어야한다“

리처드 벤틀리
하지만 뉴턴의 이론에 의하면 우주가 유한하다거나 무한하다거고 가정을 하면 항상 모순이 뒤따르게 됩니다
그것에 대한 문제의 결과를 최초로 지적한 사람이 바로 성직자였었던 리처드 벤틀리였습니다
벤틀리는 뉴턴에게 한 통에 편지를 보내게 됩니다
“만일 중력이라는 것이 잡아당기는 방향으로만 작용한다면, 은하를 이루고 있는 모든 별들은 결국
중심으로 모여들어면서 산산히 부셔질 것입니다 그러므로 만일 우주가 유한하다면, 그곳은 고요하고
정적인 공간가 아니라 모든 별들이 한 곳에 뭉개지면서 처참한 종말을 맞는 아수라장이 될 것입니다
반대로 우주가 무한하다면 어떤 물체를 왼쪽 또는 오른쪽으로 잡아당기는 힘도 무한할 것이므로,
이경우에도 모든 별들은 조가조각 찢어지면서 종말을 맞이하게 될 것입니다”
이에 대하여 뉴턴은 벤틀리의 역설을 피해갈 길을 생각했는데 그것은
“우주공간에 떠 있는 하나의 별이 무한히 많은 다른 별들에 의해 당겨지고 있다면
오른쪽으로 끌어당기는 힘과 왼쪽으로 끌어당기는 힘은 서로 상쇄된다
이런 식으로 모든 별들이 균형을 이루고 있기 때문에 정적인 우주가 유지된다”
라는 것이 뉴턴의 생각이였습니다
하지만 희대의 천재인 뉴턴이 이러한 답에 만족할 리가 없죠
그래서 벤틀리에게 답장을 보낼 때 “제 답이 완전한 해결책이 아니란 점 인정합니다“라는 말을 덧붙였습니다
겉으로 보기에는 그럴 듯 안정된 것처럼 보이지만 약간의 움직임 또는 별이 요동을 치면
바로 균형이 연쇄적으로 와해가 되버려 벤틀리가 말했던 별들이 중심으로 모여버리게 되는 현상이 일어나버리게 됩니다
이에 뉴턴은 이런 현상이 일어나지 않으려면 신의 기적이 계속해서 일어나야 한다고 말하였습니다
여러분도 아시다시피 실제로는 우주가 중력에 의하여 중심으로 모여 붕괴를 맞이 하지 않습니다
그러면 이 역설의 해답은 무엇일까요?

암흑에너지/물질 분포도 [검은부분이 모두 암흑물질입니다.]
바로 현대에 와서 드러난 우주의 팽창과 그 원인이 되고 있는 암흑에너지가 그 답이였습니다
즉, 1930년대 에드윈 허블이 관측으로 인해 우주가 팽창하고 있음을 밝혀냈고,
20세기 후반 우주의 성분중 70% 이상이 바로 이렇게 우주를 팽창시키는
반중력의 힘을 가진 '암흑에너지' 임이 밝혀짐으로 이 역설은 자연스럽게 해결이 됬습니다

우주의 물질 분포도
즉, 우주가 암흑에너지로 인해 단한순간도 정지해있지 않고 무한히 팽창하고 있기 때문에
우주 전체의 질량이 지니는 중력에 반하여 우주 전체가 안정적인 모습을 지니게 되는 것입니다
이번에는 네 번째 우주의 역설[올베르스의 역설] 시작하겠습니다
아마추어도 아닌 그냥 취미이므로 잘못 적혀있더라도 이해해주시면 감사하겠습니다
II. 올베르스의 역설

천문학자 올베르스
처음에 얘기했었던 우주가 무한하다고 주장하는 이론들은 벤틀리의 역설과 함께 더 난해한 역설들이 나타나게 됩니다
그 중 독일의 천문학자인 하인리히 빌헬름 올베르스가 처음했던 역설인 “밤하늘은 왜 검게 보이는가” 였습니다

올베르스의 역설
올베르스의 역설은 벤틀리의 역설처럼 속사정이 매우 복잡하여 오랫동안 해결되지 못했고,
17세기 천문학계의 거장이었던 케플러도 이 문제 때문에 골머리를 앓다가
"우주가 유한해서 그렇다"고 결론내리고 말았습니다,
이 이론은 우주가 유한하기 때문에 빛의 양도 유한하다고 가정하여 역설을 해결할 수 있었지만, 편법일 뿐이었습니다

역설의 제기자인 올베르스 본인은 우주의 먼지와 가스 구름들이 별빛을 흡수하기 때문에
모든 별빛들이 지구에 도달할 수 없다는 "가스층 흡수 이론"을 주장했습니다
하지만 이 이론은 먼지와 가스층이 우주공간을 메우고 있다면 오랜 세월 빛에 노출되어
발광 성운이 되어 먼지구름 자체가 별처럼 빛을 내게 되버려서 역설을 완전히 해결을 할 수가 없게 되버립니다

에드거 앨런 포
이러한 올베르스의 역설을 처음으로 해결한 사람은 미국의 추리 소설 작가이자 아마추어 천문학자였던 에드거 앨런 포였습니다
포는 죽기 직전에 <유레카>라는 산문시집을 출간했는데, 이 중에 자신이 천체관측을 한 것을 난해한 산문시로 써 놓은 것이 있습니다

산문시집 <유레카>
“별들이 끝없이 나열되어 있다면 밤하늘은 누부시게 빛나야 한다 광활한 우주공간에서 ‘별이 존재할 수 없는 공간’이라는 것이 따로 있을 이유가 없기 때문이다
그러므로 우주공간의 대부분이 비어 있는 것처럼 보이는 것은 멀리 있는 천체로부터 방출된 빛이 아직 우리의 눈에 도달하지 않았기 때문이라고 생각할 수 밖에 없다”
에드거 앨런 포는 자신의 아이디어가 “너무도 아름답기 때문에 틀렸을 리가 없다”라면서 과감하게 결론도 지었습니다
놀랍게도 포가 제시한 아이디어는 천문학자들을 올바른 길로 안내하는 결정적인 실마리를 주게 되었고,
1901년에는 물리학자 켈빈도 올베르스의 역설을 다음과 같은 논리로 해결했습니다
“빛의 속도가 유한하기 때문에 우주 공간을 진행하려면 시간이 소요되므로 밤하늘의 모습은 지금 이 순간의 별이 아니라 별의 과거 모습이다
빛의 속도는 엄청나게 빠르지만 유한하므로 특정거리를 진행하려면 반드시 시간이 소요되기 때문이다”
그리고 간단한 계산을 통하여 밤하늘이 밝게 빛나려면 우주의 크기가 적어도 수백조 광년 이상
되어야 하지만 우리 우주가 아직 그 정도 나이를 먹지 않았기 때문에 밤하늘이 검게 보인다고 했습니다

빛의 파장
즉, 요약하자면 빛의 속도는 유한하여 일부 빛은 아직 지구에 도달하지 않았으며,
빅뱅 우주론에 따르면 우주는 유한한 나이를 가지기 때문에 항성들이 일정 거리 안에만 존재하고,
우주가 팽창하기 때문에 세월이 흐를수록 아직 도달하지 못한 빛들이 마저 도달하여 밤하늘의 밝기가
점차 밝아지는 현상도 나타나지 않습니다 또한 우주는 팽창하고 있기 때문에 모든 빛에는 적색 편이 현상이 일어나게 되므로,
가시광 영역의 빛들이 파장이 길어져 적외선 영역으로 들어가버리기 때문에 우리 눈에는 보이지 않게 됩니다
이번에는 다섯번째 케플러 제 2법칙입니다
아마추어도 아닌 그냥 취미이므로 잘못 적혀있더라도 이해해주시면 감사하겠습니다
한 번쯤은 들어본적이 있으실 겁니다.
케플러 3개 법칙

케플러 제 1법칙 : 타원 궤도의 법칙

케플러 제 2법칙 : 면적 속도 일정의 법칙

케플러 제 3법칙 : 조화의 법칙
각각의 법칙을 설명드리자면
케플러 제 1법칙 : 행성은 타원을 궤도로 공전한다. 이 때 타원의 두 초점 중 한 곳에 태양이 위치한다.
케플러 제 2법칙 : 동일 시간동안 휩쓸고 간 면적은 서로 같다
케플러 제 3법칙 : 항성과의 평균거리 세제곱은 공전궤도의 제곱에 비례한다.
어떻게 보면 제 1법칙 → 제 2법칙 → 제 3법칙 순으로 발견이 된 것 같지만
놀랍게도 제 2법칙 → 제 1법칙 → 제 3법칙 순서로 발견이 됬습니다
그 이유는 케플러가 처음 이 법칙을 발표할 때는 수학적인 방법으로 법칙을 발견한 것이 아니라
관측에 기반한 경험적인 법칙으로서 이를 발표한 것이기 때문입니다.
케플러는 제 2법칙을 관찰로 통해 제일 먼저 알아낸 것이지요.
그 이후 법칙들은 한 세대 뒤의 아이작 뉴턴의 고전역학의 힘을 빌어 하나씩 증명하게 됩니다
이번 글에서는 케플러 제 2법칙이 왜 면적이 일정한지에 대해 설명을 해드릴려고 합니다.

행성의 궤도는 타원이므로 위 그림과 같이 나타낼 수 있습니다
동경벡터가 그어진 부분만 잘라내어 보면 아래그림과 같고

저희는 타원의 초점이 F라고 하고 행성이 임의의 점에서 다음 점으로 옮겨갔을 때
Δt만큼 시간이 지났다면 그 때의 면적 변화를 알고 싶어합니다
그런데 Δθ가 작아지게 되면 다음 식이 주어질 수 있습니다

Δt->0일 때 호가 직선이 되는 것이죠
따라서 Δt->0일 때 면적의 변화량은

사실 이 식으로부터도 시간에 대한 면적변화량은 일정하다는 것을 알 수가 있습니다
하지만 좀 더 덧붙이겠습니다

회전계에서 힘 (F)과 돌림힘 (τ), 그리고 운동량 벡터들 (p 와 L)의 관계
케플러 제 2법칙을 뉴턴의 물리학적 방법으로 유도하려면 각운동량의 개념이 필요합니다
고등학교에서 배우는 곱미분만 이해하면 식 자체는 이해가 가능하지만
물리적인 의미를 이해하려면 대학 수준의 지식이 필요합니다
각운동량은 아래 식으로 쓸 수가 있습니다

여기서 m은 물체의 질량 r은 위치 벡터 p는 선형운동량입니다
이제 이 식을 미분을 하면

선형운동량 P를 미분하면 우리가 알고 있는 힘 F가 됩니다
[P=mv이므로 미분하게 되면 F=ma의 식을 얻게 되죠]
이제 이 식 자체를 행성으로 가정하게 되면

H는 단위 질량당 각운동량를 뜻합니다
그리고 여기서 중심력이라는 것은 중력이라고 생각하시면 됩니다
중력은 언제나 중심으로 작용하죠
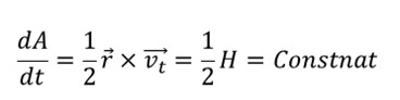
이제 마지막으로 유도해낸 두 식을 가지고 케플러 제 2법칙을 증명해보겠습니다

①식에서는 대수식이지만 벡터식으로 바꾸게 되면

이 식에서 시간에 따라 면적의 변화는 일정하다라는 결론을 얻게 되므로,
따라서 동일 시간동안 휩쓸고 간 면적은 서로 같다는 것을 알 수가 있습니다
이번에는 여섯번째 상대성이론의 발견 시작하겠습니다
아마추어도 아닌 그냥 취미이므로 잘못 적혀있더라도 이해해주시면 감사하겠습니다

희대의 천재라고 불리우는 알베르트 아인슈타인을 아십니까?
아인슈타인은 독일 태생의 미국 이론물리학자입니다.
그가 발표한 일반 상대성이론은 현대 물리학에 혁명적인 영향을 끼쳤으며,
1921년 광전효과에 관한 기여로 노벨 물리학상을 수상하였습니다.
이런 천재 아인슈타인이 어떻게 상대성이론을 발견을 하게 되었는지에 대한 글을 쓰려고 합니다.
재미있게 봐주셨으면 감사하겠습니다.
시작하겠습니다.
아인슈타인은 어렸을 때 아론 번스타인의 <자연과학 입문서>를 읽은적이 있습니다.
거기에 번스타인은
"전깃줄을타고 전송되는 전보를 똑같은 속도로 따라가면 어떻게 보일까?"
라는 질문을 제기하였습니다.

이에 대하여 어린 아인슈타인은 이와 같은 맥락에서
"빛과 동일한 속도로 빛을 따라간다면 어떻게 보일까?"
라는 질문을 스스로 제기하고 온갖 상상의 나래를 펼쳤습니다.
"만일 내가 c라는 속도(광속)로 빛을 따라간다면 빛은 정지해 있는 전자기장처럼 보일 것이다.
그러나 전자기학에 관한 맥스웰 방정식에 의하면 빛은 항상 움직이고 있다.
이 문제를 어떻게 해결해야 하는가?"
소년 아인슈타인은 빛과 같은 속도로 빛을 따라가면
빛은 정지상태의 파동처럼 보인다고 생각했습니다.
하지만 어느 누구도 정지된 빛을 본사람은 없죠

<아이작 뉴턴> <맥스웰>
게다가 20세기가 올무렵 물리학은
뉴턴의 역학 및 중력이론과 맥스웰을 전자기학이론에 의지하고 있었습니다.
뉴턴의 역학에 의하면 우주선은 빛을 얼마든지 따라잡을 수가 있습니다.
하지만 맥스웰방정식의 해에서는 빛은 관측자의 운동상태과 관계없이 빛의 속도는 일정해야만 합니다.
이에 아인슈타인은 이 논리가 크게 잘못되어있음을 알게되었고
상대성이론의 첫걸음이 되었습니다.

<광속으로 달리는 우주선>
예를 들어 우주비행사가 빛을 따라잡기 위해 우주선의 출력을 최대한 높여
빛의 속도와 비슷한 속도로 달리고 있습니다.
이것을 지구에 있는 관측자가 망원경으로 바라보고 있다면
빛과 우주선은 동일한 속도로 달리는 것처럼 보여야합니다.
하지만 우주비행사의 눈에는 빛이 여전히 자신으로부터 c의 속도로 멀어져가고 있습니다.
아인슈타인은 다음과 같은 질문을 머릿속에 떠올렸습니다.
"운동상태가 다른 두 사람이 동일한 사건을 관측했을 때, 결과가 다르게 나오는 이유가 무엇인가?
우주선의 속도가 빛보다 느리다해도 정지한 상태에서 측정한 빛의 속도보다 느리게
나타나야하는 것은 뉴턴역학에서는 상식이였습니다.
하지만 아인슈타인은 누가 측정하던간에 항상 동일하다고 선언했으며
신중한 사고끝에 "시간은 관측자의 운동상태에 따라 각기 다른 빠르기로 흐른다"
라는 놀라운 결론에 도달했습니다.
즉 시간은 절대적인 것이 아니며 우주의 각 지점마다
다른 속도로 흐르는 상대적인 것임을 알아낸 것입니다.

<로렌츠-피츠 제럴드 수축>
아인슈타인은 이에 그치지않고
관측자의 운동속도에 따라 시간이 다르게 흐른다면 물체의 길이
질량, 에너지 등도 속도에 따라 달라져야 한다는 것을 알았습니다.
예를들면 달리는 자동차는 이동방향으로 길이가 줄어들고,
속도가 빠를수록 수축되는 정도가 커집니다.
이러한 현상을 로렌츠-피츠 제럴드 수축이라고 합니다.
빠른속도로 달리는 물체는 질량이 증가하고 속도가 광속에 이르면
시간은 느리게 가다 못해 흐르지 않게 되며, 길이는 0으로 줄어들고 질량은 무한대가 됩니다.
(블랙홀에 빨려들어가거나 가까이 가게 되면 시간이 흐르지 않는다라는 것에 대한 자료를
보신적이 있을 것입니다. 그것에 대한 것이 로렌츠-피츠 제럴드 수축에서 증명된 것으로 생각합니다.)

더욱이 아인슈타인은 시간과 공간을 시공간이라는 하나의 쳬계로 통합시켰고,
질량과 에너지가 서로 교환될 수 있는 양임을 간파하여 이들도 하나로 통하는데 성공했습니다.
즉, 에너지가 질량으로 전환될 수 있다는 것인데요
그 유명한 E=mc^2이 그 공식입니다.
이 식에 의하면 극소량의 질량이라해도 에너지로 변환되면 엄청난 위력을 발휘하게 됩니다.
바로 c^2인 광속의 제곱이 너무나 큰 수이기 때문입니다.
이 공식이 발표됨에 따라 별의 내부에서의 핵융합반응을 통해 매 순간마다
질량이 에너지로 변환되고 있기 때문에 그토록 오랜 세월 동안 밝은 빛을 발휘할 수 있었던 것입니다.
단 하나의 원리인 "모든 관성기준계에서 빛의 속도는 일정하다"
때문에 별의 비밀이 풀린 것이지요.

참고문헌---------------------------------------------
칼 세이건 / 코스모스
미치오 카쿠 / 평행우주
아인슈타인 / 상대성이론
킵 손 / 인터스텔라의 과학
피터 매시니스 / 100디스커버리
토마스 뷔르케 / 과학이 즐거운 천문학
다케우치 가오루 / 한권으로 충분한 양자론
다케우치 가오루 / 한권으로 충분한 우주론
다케우치 가오루 / 한권으로 충분한 시간론
Zeilik Gregory / 천문학 및 천체물리학
Kip Thorne / Black Holes & Time Warp
-----------------------------------------------------
참고문헌---------------------------------------------
천문학 및 천체물리학 / Zeilik Gregory
-----------------------------------------------------
작성자 : 우주성애자

인스티즈앱
(워딩🔞) 피처링 참여한 티모시 샬라메 가사 상황..JPG