
W코리아 유방암 캠페인 논란, 문제는 스타 아닌 모금·기부금 내역 [이슈&톡]
[티브이데일리 김지현 기자] 국내 패션 매거진 W코리아가 주최한 '유방암 인식 향상 캠페인' 자선 행사가 도마 위에 올랐다. 행사는 취지가 무색하게 마치 파티처럼 진행됐고, 행사에 참석한 스
v.daum.net


일단 W코리아는 미국 W 잡지의 한국판인데
미국 W는 무려 1972년 창간된 잡지
단순 패션 뷰티 뿐 아닌 좀 더 하이엔드임
럭셔리, 엘리트, 예술성
= 스타들 입장에서 있어보이는 느낌





아마 이게 처음 시작했던
2005년이면 더더구나 잡지 파워가 셌고
당시만해도 잡지 표지모델 = 영광 이런거였음
그게 쭉 이어져오면서 쭉 체급을 불린듯


이렇게 맨날 무슨 현대예술 작가랑
협업하고 셀럽을 불러서 례술성까지 갖췄으니
연예인들은 한국판 맷갈라마냥 참석함


하지만 돈은 안줌
스타들한테 유방암 관련행사니까
W 코리아는 노 개런티로 오라고함
거마비, 스타일링 비용 모두 연예인 측 부담
논란의 박재범 또한 비용X

여기에 인플루언서들도 불러서
W코리아 홍보컨텐츠 만들게 했는데
이 역시 연예인들이 많이오니까 무페이

그래도 행사하는데 1억 넘게 들텐데
무슨 돈을 버는거지?


그럼 W코리아가 돈을 버는 방법은?
스타들을 명품사 협찬 브랜드 옷을 입혀서
포토월 세우고 사진,영상 퍼져서
그거로 명품사한테 기부금(?)을 받음
그래 2억 썼다치고 10억버는거임

레드카펫과 공연을 유튜브 라이브로 송출하고


이런거 시켜서 영상 사진이 퍼져나가고


이런식으로 브랜드들이 노출됨
심지어 저 영상도 지들 파티 20주년이라고
생일축하노래 불러주세요ㅠ
이런거임;;


이런식으로 또 W코리아가 입지가 생기면
명품브랜드들이 화보광고 의뢰를 하고..
돌고도는 돈
+

수익금은 기부한다고 했지만
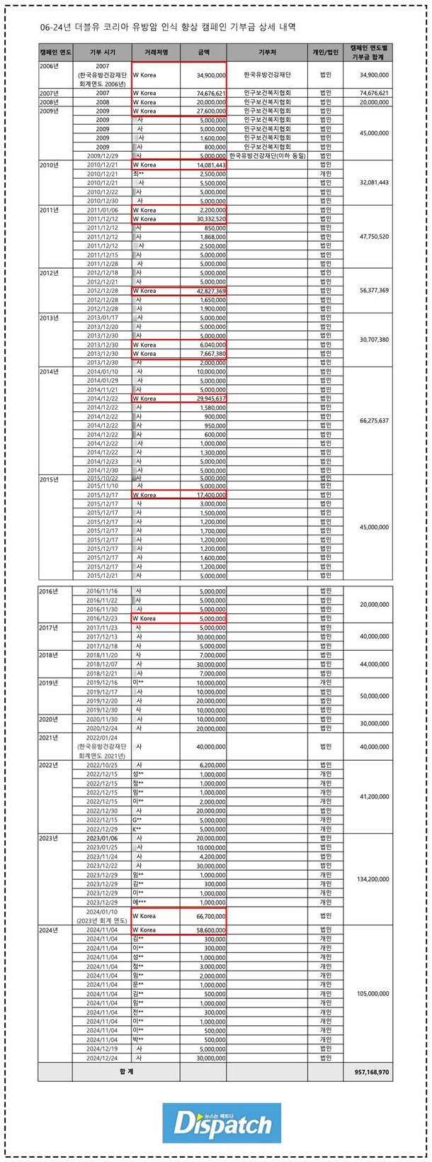
20주년인데 11억 기부(이조차 구라ㅠㅠ)

W코리아가 (19년 동안) '그들' 이름으로 직접 기부한 총액은 4억 3,797만 970원입니다.

한국유방건강재단을 핑계로 돈을 벌다니
너무 화나겠다
그 단체는 화 안내?
그 단체의 이사 = W코리아 편집장
...
3줄요약
05년부터 잡지사의 자선행사로 셀럽 모아서 이어짐
명품회사들은 홍보효과로 기부금+협찬
정작 그 기부금과 협찬은 어디로 갔는지 모름


참고로 에스티로더의 경우
이렇게 공개하고있고

실제로 2024년에 에스티로더는 1억5천 기부함
W코리아 20년간 3억인데


인스티즈앱